Buoyant force acting on an inverted glass in water

AI Thread Summary
The discussion centers on the behavior of an inverted glass submerged in water and the forces acting on it. The original answer incorrectly states that the buoyant force decreases and that the volume of air inside the glass stops decreasing at certain times. Participants clarify that as the glass descends, the volume of air continuously decreases due to increasing pressure, which affects buoyancy. They emphasize that the net force must remain zero for the glass to move at constant speed, and the relationship between weight, buoyancy, and applied force needs to be accurately represented. Overall, the conversation highlights the importance of understanding fluid dynamics and gas behavior under pressure.
  • #51
erobz said:
Also, I recommend leaving the expression you develop from the ideal gas law as ##P_{atm}V_o\llap{-} = P V\llap{-}##
Clarification on the above statement:

The absolute pressure ##P## is a function of ##h,\delta##, and the gas volume is a function of ##\delta##.

$$P_{atm}V_o\llap{-} = P( h,\delta) V\llap{-}( \delta)$$

The objective is to solve that for ##\delta(h)##.
 
Physics news on Phys.org
  • #52
Frabjous said:
There are a lot of assumptions one has to make in order to do the quantified calculations. I think the point of the problem is at entry, there is zero buoyancy force so the initial applied force opposes gravity only. The buoyancy force grows until it reaches a maximum when the glass is fully submerged at which point it begins to decrease and asymptote to a value with a zero volume of air with corresponding changes to the applied force.
Thank you.
erobz said:
Clarification on the above statement:

The absolute pressure ##P## is a function of ##h,\delta##, and the gas volume is a function of ##\delta##.

$$P_{atm}V_o\llap{-} = P( h,\delta) V\llap{-}( \delta)$$

The objective is to solve that for ##\delta(h)##.
Thank you. I will try again today ...
 
  • #53
erobz said:
Clarification on the above statement:

The absolute pressure ##P## is a function of ##h,\delta##, and the gas volume is a function of ##\delta##.

$$P_{atm}V_o\llap{-} = P( h,\delta) V\llap{-}( \delta)$$

The objective is to solve that for ##\delta(h)##.
If we assume that the temperature of the gas is constant, the pressure at depth h is equal to:
P=(PatmL) / (L-𝛿)

Is it true ?!
 
  • #54
MatinSAR said:
If we assume that the temperature of the gas is constant, the pressure at depth h is equal to:
P=(PatmL) / (L-𝛿)

Is it true ?!
The pressure at depth h, P(h), is Patm plus the weight of the water column, ρwatergh.
The pressure of the air in the glass is Pair=P(h-δ)
You can then use the EOS to determine Vair.
You can then use the shape of the glass to determine δ.
 
  • #55
MatinSAR said:
If we assume that the temperature of the gas is constant, the pressure at depth h is equal to:
P=(PatmL) / (L-𝛿)

Is it true ?!
You are on the right track. ##P## is the pressure of the gas in the cup when the leading edge of the cup is at depth ##h##. So what is left to do is to write ##P## ( LHS ) as a function of the depth ##h## and total change in volume per unit area ##\delta##.

Remember: ##P## is an absolute pressure.
 
  • #56
Frabjous said:
The pressure of the air in the glass is Pair=P(h-δ)
Can you please tell why ?
erobz said:
You are on the right track. ##P## is the pressure of the gas in the cup when the leading edge of the cup is at depth ##h##. So what is left to do is to write ##P## ( LHS ) as a function of the depth ##h## and total change in volume per unit area ##\delta##.

Remember: ##P## is an absolute pressure.
Thank you ...
 
  • #57
I think (hope) they mean that the pressure of the trapped gas is a function of ##h- \delta##. I can see how that could be confusing.

So far you are doing good. You just need to get the pressure of the trapped gas as a function of ##h## and ##\delta##. That is what I meant by ##P(h,\delta)##.

Find the pressure of the gas at the gas-liquid interface by using the hydrostatic relationship.
 
Last edited:
  • #58
Sorry for the confusion. You are on track. You have written the pressure of the air in the glass (assuming a constant glass shape and an EOS). You need to set it equal to the pressure in the water, P(h-δ) to solve for delta. It is at h-δ because that where the air-water interface is located.
 
  • #59
erobz said:
Find the pressure of the gas at the gas-liquid interface by using the hydrostatic relationship.
Is that equal to Patm+ρg(h-δ) ?


Frabjous said:
Sorry for the confusion. You are on track. You have written the pressure of the air in the glass (assuming a constant glass shape and an EOS). You need to set it equal to the pressure in the water, P(h-δ) to solve for delta. It is at h-δ because that where the air-water interface is located.
Thank you.
 
  • #60
MatinSAR said:
Is that equal to Patm+ρg(h-δ) ?
Good... plug that in, solve for ##\delta(h)##. I would suggest evaluating that solution at ##h = 0## to ensure you have chosen the correct form.
 
  • #61
erobz said:
Good... plug that in, solve for ##\delta(h)##. I would suggest evaluating that solution at ##h = 0## to ensure you have chosen the correct form.
Ok I will but why should I find this ?
 
  • #62
MatinSAR said:
Ok I will but why should I find this ?
Because you to eliminate ##\delta## as an independent variable and get everything in terms of the depth ##h##.
 
  • #63
erobz said:
Because you to eliminate ##\delta## as an independent variable and get everything in terms of the depth ##h##.
If we consider h=0 :
1670960911717.png
 
  • #64
MatinSAR said:
If we consider h=0 :
View attachment 318757
Thats isn't what I meant.

Did you solve for ##\delta## as a function of ##h## yet?

Remember, ##\delta## is part of both the pressure and the volume of the gas. When I say solve for ##\delta## I mean solve the following for ##\delta##:

$$P_{atm} A l = P(h,\delta) V\llap{-}(\delta)$$
 
Last edited:
  • #65
MatinSAR said:
If we consider h=0 :
View attachment 318757
Think about what h=0 physically corresponds to.
 
  • Like
Likes erobz and MatinSAR
  • #66
erobz said:
Thats isn't what I meant.

Did you solve for ##\delta## as a function of ##h## yet?

Remember, ##\delta## is part of both the pressure and the volume of the gas. When I say solve for ##\delta## I mean solve the following for ##\delta##:

$$P_{atm} A l = P(h,\delta) V\llap{-}(\delta)$$
Can I find δ using :

PatmL/(L -δ) = Patm+ρg(h-δ)
Frabjous said:
Think about what h=0 physically corresponds to.
The moment that the glass enters the water.
 
  • #67
MatinSAR said:
Can I find δ using :

PatmL/(L -δ) = Patm+ρg(h-δ)
Give it a try.
 
  • #68
erobz said:
Give it a try.
1670966257808.png

At h=0 delta should be zero. The above equation confirms this.
And we can see that if h goes to ∞ the delta goes to L.
 
Last edited:
  • #69
MatinSAR said:
View attachment 318764
At h=0 delta should be zero. The above equation confirms this.
And we can see that if h goes to ∞ the delta goes to L.
Seems good. I had to check whether that quadratic simplified, I didn't take it that far! Good Job!
 
  • #70
erobz said:
Seems good. I had to check whether that quadratic simplified, I didn't take it that far! Good Job!
I appreciate your help. I didn't use PatmL/(L -δ) = Patm+ρg(h-δ) because
2nd degree equation was obtained ...

I have used the formula you suggested ...
 
  • #71
MatinSAR said:
I appreciate your help. I didn't use PatmL/(L -δ) = Patm+ρg(h-δ) because
2nd degree equation was obtained ...

I have used the formula you suggested ...
What formula?
 
  • #74
erobz said:
I don't understand! I solved it as a quadratic. However, your result indicates that my quadratic must be factorable I believe?
Maybe I made a mistake ...
was my answer correct ??
 
  • #75
MatinSAR said:
Maybe I made a mistake ...
was my answer correct ??
It plots identically to my solution?
 
  • #76
erobz said:
It plots identically to my solution?
Let me send you a picture of what I have done ...
 
  • #77
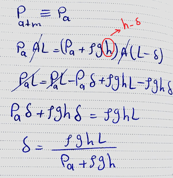
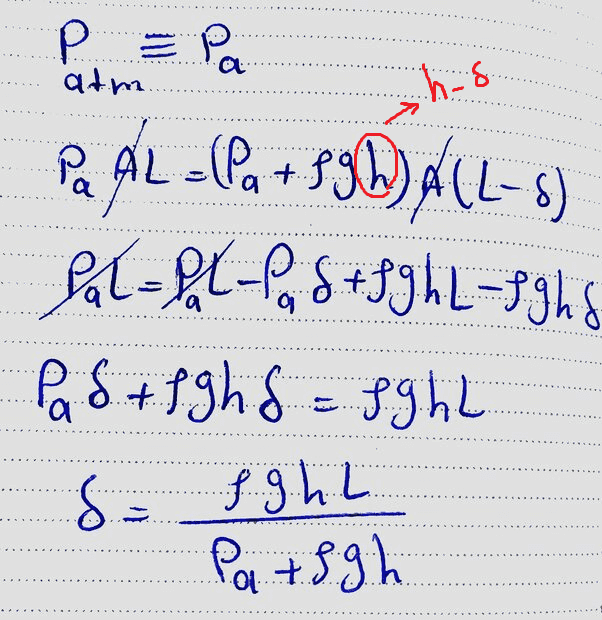
erobz said:
It plots identically to my solution?
My mistake is here :
1670968816408.png


So to find delta we have to solve a quadratic equation ...

The question only asked about the increase and decrease of F force, I didn't want to waste your time at all... I'm sorry...
edit :

2022_12_14 1_55 AM Office Lens.jpg


I have solved that quadratic equation ...
 
Last edited:
  • #78
MatinSAR said:
My mistake is here :
View attachment 318768

So to find delta we have to solve a quadratic equation ...

The question only asked about the increase and decrease of F force, I didn't want to waste your time at all... I'm sorry...
edit :

View attachment 318770

I have solved that quadratic equation ...
What you did on accident the first time by omitting ##\delta## was actually a really good approximation for ##\delta \ll h##. For the parameters I used I couldn’t tell the apart.
 
  • #79
MatinSAR said:
My mistake is here :
View attachment 318768

So to find delta we have to solve a quadratic equation ...

The question only asked about the increase and decrease of F force, I didn't want to waste your time at all... I'm sorry...
edit :

View attachment 318770

I have solved that quadratic equation ...
I wanted you to explore it. It wasn’t a waste of my time at all!
 
  • #80
erobz said:
I wanted you to explore it. It wasn’t a waste of my time at all!
Thank you for your help and time ... 🙏🙏
 
Back
Top