Riemann integrability and uniform convergence

Click For Summary
SUMMARY

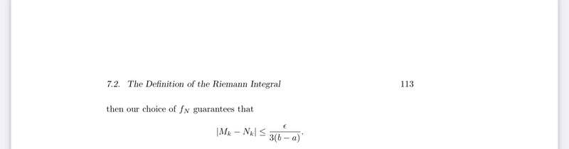
The discussion centers on the transition from the inequality |f - f_n| < ε/3(a - b) to |M_k - N_k| < ε/3(a - b) in the context of Riemann integrability and uniform convergence as presented in "Understanding Analysis" by Stephen Abbott. The participants clarify that uniform convergence ensures that for any ε > 0, there exists a natural number M such that for n > M, the distance |f_n - f| is less than ε for all x in the interval [a, b]. They demonstrate that the supremums M_k and N_k can be shown to be within ε of each other through careful manipulation of inequalities, confirming the correctness of the original inequality.

PREREQUISITES
  • Understanding of Riemann integrals and their properties
  • Familiarity with uniform convergence of sequences of functions
  • Knowledge of supremum and infimum in real analysis
  • Ability to manipulate inequalities in mathematical proofs
NEXT STEPS
  • Study the concept of uniform convergence in detail
  • Explore the properties of Riemann integrals in "Understanding Analysis" by Stephen Abbott
  • Learn about the implications of the supremum and infimum in analysis
  • Practice proving inequalities involving sequences of functions
USEFUL FOR

Students of real analysis, mathematicians focusing on integration theory, and educators teaching Riemann integrability and convergence concepts.

lys04
Messages
144
Reaction score
5
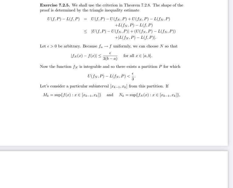
Was reading the Reimann integrals chapter of Understanding Analysis by Stephen Abbott and got stuck on exercise 7.2.5. In the solutions they went from having |f-f_n|<epsilon/3(a-b) to having |M_k-N_k|<epsilon/3(a-b), but I’m confused how did they do this. We know that fn uniformly converges to f, that means for any epsilon greater than 0 I can find natural number M st when n is greater than M then the distance from fn to f is less than epsilon for all x in the interval [a,b], but the supremums of fn and f in a sub interval [x_k-1,x_k] might occur at different values and I’m not sure how they’re meant to be at most epsilon apart.
 

Attachments

  • IMG_0255.jpeg
    IMG_0255.jpeg
    17.1 KB · Views: 76
  • IMG_0253.jpeg
    IMG_0253.jpeg
    29.6 KB · Views: 109
  • IMG_0254.jpeg
    IMG_0254.jpeg
    5.7 KB · Views: 101
Physics news on Phys.org
I suspect it's a typo and the 3 in the denominator is supposed to be gone.

Edit: actually I take it back. Let's say ##M_k>N_k##. Then where ##M_k## is realized, ##f_N## is within ##\epsilon/(3(b-a))## of ##M_k## and is guaranteed to not be larger than ##N_k##, showing the inequality in your post is correct. If ##N_k\leq M_k## just do the logic in the other direction
 
We have for [itex]n > N[/itex] that (dropping the constant multiple of [itex]\epsilon[/itex]) [itex]|f_n(x) - f(x)| < \epsilon[/itex]. We can write this in the following two ways: [tex] \begin{split}<br /> f_n(x) - \epsilon &< f(x) < f_n(x) + \epsilon \\<br /> f(x) - \epsilon &< f_n(x) < f(x) + \epsilon. \end{split}[/tex] Ignoring the lower bounds and making the right hand sides as large as possible, we find that on the particular subinterval [tex] \begin{split}<br /> f(x) &< f_n(x) +\epsilon \leq N_k + \epsilon \\<br /> f_n(x) &< f(x) + \epsilon \leq M_k + \epsilon.\end{split}[/tex] Now the first tells us that [itex]N_k + \epsilon[/itex] is an upper bound for [itex]f(x)[/itex], so that [tex]M_k \leq N_k + \epsilon.[/tex] Simiilarly the second tells us that [itex]M_k + \epsilon[/itex] is an upper bound for [itex]f_n(x)[/itex] so that [tex] N_k \leq M_k + \epsilon.[/tex] Putting these two inequlities together gives [tex] |N_k - M_k| \leq \epsilon[/tex] as required.
 
  • Like
Likes   Reactions: lys04 and fresh_42

Similar threads

  • · Replies 14 ·
Replies
14
Views
5K
  • · Replies 2 ·
Replies
2
Views
3K
  • · Replies 2 ·
Replies
2
Views
2K
Replies
2
Views
2K
  • · Replies 4 ·
Replies
4
Views
3K
  • · Replies 6 ·
Replies
6
Views
3K
  • · Replies 1 ·
Replies
1
Views
3K
Replies
2
Views
2K
  • · Replies 21 ·
Replies
21
Views
3K
  • · Replies 5 ·
Replies
5
Views
3K