Riemann sum where n = 3 for both left and right endpoint estimates

Click For Summary

Homework Help Overview

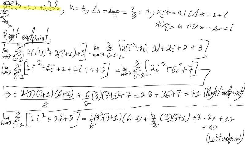
The discussion revolves around computing a definite integral using Riemann sums with both left and right endpoint estimates. The specific function to integrate is f(x) = 2x² + 2x + 3 over the interval from x = 1 to x = 4, with n = 3 subdivisions.

Discussion Character

  • Mixed

Approaches and Questions Raised

  • Participants discuss the setup of the Riemann sums, including the calculation of Δx and the selection of endpoints. There are questions about the correctness of summation indices and the derivation of the formulas used. Some participants express confusion over the original poster's approach and the complexity of their work.

Discussion Status

Several participants have offered guidance on simplifying the problem and have pointed out specific errors in the original poster's calculations. There is an ongoing exploration of the correct application of Riemann sums, with some participants suggesting a more straightforward approach to the problem.

Contextual Notes

Participants note that the original poster may have over-complicated their approach and that clarity in presenting the problem could facilitate better assistance. There is also mention of a link to additional context that may aid in understanding the problem.

s3a
Messages
828
Reaction score
8

Homework Statement


Compute the integral that is highlighted in MyWork.jpg using Riemann sums using left and right endpoints.

Homework Equations


##x_i* = a + i Δx##
##*x_i = a + i Δx - Δx##
##Σ_{i=1}^{n} i = n(n+1)/2##
##Σ_{i=1}^{n} i^2 = n(n+1)(2n+1)/6##

The Attempt at a Solution


My attempt is attached as MyWork.jpg. I've done this problem several times and, I cannot figure out what I am doing wrong. I would really appreciate it if someone could point out what I am doing wrong!
 

Attachments

  • MyWork.jpg
    MyWork.jpg
    47.2 KB · Views: 494
Last edited:
Physics news on Phys.org
First, review this post, especially item #4.
 
Was it the indices to the summations that you wanted me to review? (I just added them.)

If you're talking about ##*x_i## equation, it could be wrong since I derived that myself using ##x_i*## and a drawing of the rectangles and the curve but, I don't know what I did wrong (assuming that I did, in fact, do something wrong).

If it's something else, tell me and I will review it.
 
Hello, again.

Is what I did still not what you asked?
 
I'm not clear why you spend so much time writing general formulas when the problem is very specific. You are to integrate [itex]f(x)= 2x^2+ 2x+ 3[/itex], from x= 1 to x= 4, using "Riemann sums" with n= 3, twice, once using left endpoints, then using right endpoints. Okay, the distance from 1 to 4 is 4- 1= 3, as you say, and dividing into 3 equal parts means each part has length [itex]\Delta x= 1[/itex].

The left endpoints then are x= 1, 2, and 3. The Riemann sum is [itex]f(1)\Delta x+ f(2)\Delta x+ f(3)\Delta x= (f(1)+ f(2)+ f(3))\Delta x[/itex].

The right endpoints are 2, 3, and 4. The Riemann sum is [itex]f(2)\Delta x+ f(3)\Delta x+ f(4)\Delta x= (f(2)+ f(3)+ f(4))\Delta x[/itex].

That's pretty straightforward arithmetic.
 
It would've helped if I included the link earlier: https://www.physicsforums.com/showthread.php?t=686784

You just summed the constant terms incorrectly. For example, you had
$$\sum_{i=1}^3 (2i^2+2i+3) = 2\sum_{i=1}^3 i^2 + 2 \sum_{i=1}^3 i + 3\sum_{i=1}^3 1 = 2(14) + 2(6) + 3 \sum_{i=1}^3 1.$$ You got the right answer for the first two sums, but you messed up the last summation. You simply added 3 instead of 3×3=9.
 
Edit: Sorry, I double-posted.
 
HallsofIvy, I was definitely over-complicating things!

Vela, I didn't just dump the picture out of laziness; the image is clear since it was created digitally and, whoever checked my thread out had to open it anyway to see my work so, I thought it was just more convenient for whoever checks my thread out to see the question and work all in one place. Rethinking it now, though, people probably want to see the problem at a quick glance before even considering to bother answering so, I guess I will put the question in both places next time.

Thank you both!
 

Similar threads

Replies
2
Views
3K
  • · Replies 1 ·
Replies
1
Views
1K
  • · Replies 14 ·
Replies
14
Views
2K
  • · Replies 6 ·
Replies
6
Views
2K
  • · Replies 2 ·
Replies
2
Views
3K
  • · Replies 5 ·
Replies
5
Views
2K
Replies
5
Views
2K
  • · Replies 26 ·
Replies
26
Views
3K
  • · Replies 4 ·
Replies
4
Views
2K
  • · Replies 2 ·
Replies
2
Views
1K