Rolling ball goes through a loop-the-loop....

Click For Summary

Homework Help Overview

This discussion revolves around a classical mechanics problem involving a ball rolling down a slope and navigating a loop-the-loop. The problem includes determining the minimum height required for the ball to complete the loop without losing contact and analyzing the forces at a specific point in the loop.

Discussion Character

  • Mixed

Approaches and Questions Raised

  • Participants explore the application of conservation of energy to find the minimum height and discuss the forces acting on the ball at a specific point in the loop. Questions arise regarding the correct interpretation of forces, particularly distinguishing between centripetal and centrifugal forces.

Discussion Status

Some participants have provided clarifications regarding the forces involved and the interpretation of the equations used. There is an ongoing exploration of the correct calculations and assumptions, with some participants revising their initial results based on feedback.

Contextual Notes

Participants note the importance of considering the relationship between the radius of the loop and the radius of the ball, as well as the implications of using different frames of reference when discussing forces.

JulienB
Messages
408
Reaction score
12

Homework Statement



Hi everybody! Here is a classical mechanics problem about a ball (mass m, radius r) rolling down a slope (from height h) and going through a loop-the-loop.
a) What is the minimum height h from which the ball must roll in order to successfully complete the loop-the-loop without losing contact with the ramp? (Consider the radius R of the looping to be much bigger than r)
b) If the ball is rolling from a height h = 6R, what are the horizontal force components at the point Q? (see picture)

Homework Equations



Conservation of energy, centripetal acceleration, moment of inertia of a sphere (Isphere = 2/5⋅m⋅r2).

The Attempt at a Solution



a) Okay so I think I should first find the tangential velocity of the sphere as it crosses the highest point of the loop:

m⋅g = m⋅ac = m⋅(vT2/R) ⇒ vT = √(gR)

(Note: I selected R as the radius and not (R - r) because we've been told that R>>r in the problem's statement)

Then I set up an equation of conservation of energy:

PE0 = PE1 + KE1 + Erot1
⇔ m⋅g⋅h = m⋅g⋅2R + ½⋅m⋅vT2 + ½⋅Isphere⋅ω2
⇔ m⋅g⋅h = m⋅g⋅2R + ½⋅m⋅g⋅R + ½⋅(2/5⋅m⋅r2)⋅(vT2/R2)
⇔ g⋅h = g⋅2R + ½⋅g⋅R + 2/10⋅r2⋅g⋅R/R2
h = 5/2⋅R + 1/5⋅r2/R

Does that seem correct to you? (Note: again, I omitted a few "r" because of the indication R>>r)

b) Now h = 6R

I'm always a little confused about how to describe forces when it comes to centripetal and centrifugal forces, but I give it a go:

At the point Q I would say that the horizontal force components are the centrifugal force FZ (that's how we usually denote it in Germany), directing towards the outside of the loop-the-loop, and the normal force (which is also the centripetal force in that case), directing towards the center of the loop-the-loop.

Because there is no horizontal acceleration at that point Q (the velocity of the ball points upwards), I would assume that FZ = FN = m⋅ac = m⋅vT2/R

To find the tangential velocity at that point, I set up my equation of conservation of energy again but solving this time for vT2 and with h = 6R. I get vT2 = (10⋅R3⋅g)/(R2 + r2).

I substitute then that tangential velocity into my first equation and get:

FN = FZ = (10⋅m⋅R3⋅g)/(R2 + r2)

Is that correct? I'm preparing an exam, so I'd like to make sure I am able to solve such problems, and if not hopefully I can correct the mistakes I still make.Thank you very much in advance for your answers, I appreciate it.Julien.
 

Attachments

  • Photo 25-03-16 22 24 46.jpeg
    Photo 25-03-16 22 24 46.jpeg
    16.5 KB · Views: 1,056
  • Like
Likes   Reactions: berkeman
Physics news on Phys.org
JulienB said:
Then I set up an equation of conservation of energy:

PE0 = PE1 + KE1 + Erot1
⇔ m⋅g⋅h = m⋅g⋅2R + ½⋅m⋅vT2 + ½⋅Isphere⋅ω2
⇔ m⋅g⋅h = m⋅g⋅2R + ½⋅m⋅g⋅R + ½⋅(2/5⋅m⋅r2)⋅(vT2/R2)
⇔ g⋅h = g⋅2R + ½⋅g⋅R + 2/10⋅r2⋅g⋅R/R2
h = 5/2⋅R + 1/5⋅r2/R

Does that seem correct to you?
Your "ω" is supposed to be about the center of mass right? Yet you say ω = vT/R ?
JulienB said:
I'm always a little confused about how to describe forces when it comes to centripetal and centrifugal forces, but I give it a go:

At the point Q I would say that the horizontal force components are the centrifugal force FZ (that's how we usually denote it in Germany), directing towards the outside of the loop-the-loop, and the normal force (which is also the centripetal force in that case), directing towards the center of the loop-the-loop.

Because there is no horizontal acceleration at that point Q (the velocity of the ball points upwards), I would assume that FZ = FN = m⋅ac = m⋅vT2/R

"Centrifugal force" is a fictitious force that arises when viewing things from rotating coordinates. It is best to not think of it's existence in a non rotating frame. The only force acting horizontally is the normal force (as gravity and friction are both vertical at Q).

You say "there is no horizontal acceleration," but this is not true! The velocity starts at Q directed straight up, and soon later it points a bit horizontally. That means there exists a horizontal component of acceleration. The question is how much does it need to accelerate in order to stay on the path of a circle? Well that's exactly the centripetal acceleration. So by Newton's ΣFx=max in the horizontal direction, we get FNormal=macentripetal.

See, it is the same answer as you get, but the perspective behind it is hopefully a bit more clear. The centripetal acceleration is not an 'acting-force,' it is simply the acceleration that the 'acting-forces' (gravity, normal forces, friction, EM, etc.) must produce in order to maintain a circular path.
 
  • Like
Likes   Reactions: berkeman
@Nathanael thank you very much, that's precisely the clarification that I was seeking about the centrifugal force. When formulating my answer, I should then only consider the normal force (which in that present case would be labeled centripetal force) if I understand well.

About the ω I indeed confused R with r... It's a bit late where I live, so I will post the corrected answer tomorrow.

Thank you very much for your answer!Julien.
 
  • Like
Likes   Reactions: berkeman
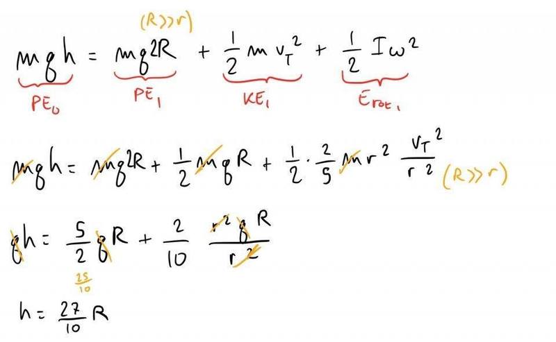
@Nathanael My new result for a) is h = 2.7R. Is that now correct? I attached the details of the calculation with the post.

Thank you very much.Julien.
 

Attachments

  • Photo 26-03-16 13 48 31.jpg
    Photo 26-03-16 13 48 31.jpg
    23.3 KB · Views: 768
JulienB said:
@Nathanael My new result for a) is h = 2.7R. Is that now correct?
Yep, looks good to me.
 
@Nathanael thanks a lot for your very helpful answers :)
 
  • Like
Likes   Reactions: Nathanael

Similar threads

  • · Replies 24 ·
Replies
24
Views
2K
  • · Replies 13 ·
Replies
13
Views
2K
  • · Replies 42 ·
2
Replies
42
Views
4K
Replies
14
Views
4K
  • · Replies 28 ·
Replies
28
Views
3K
  • · Replies 10 ·
Replies
10
Views
3K
  • · Replies 12 ·
Replies
12
Views
13K
  • · Replies 1 ·
Replies
1
Views
1K
Replies
5
Views
2K