Short improper integral question (how to rewrite?)

Click For Summary

Homework Help Overview

The discussion revolves around rewriting an improper integral, with participants exploring methods to approach the problem. The subject area pertains to integral calculus and substitution techniques.

Discussion Character

  • Exploratory, Mathematical reasoning, Assumption checking

Approaches and Questions Raised

  • Participants discuss the possibility of using substitution to rewrite the integral, with some questioning the legality of the proposed substitution. Others clarify that a u-substitution is intended, specifically u = -x.

Discussion Status

The discussion has progressed with participants providing guidance on the substitution method and emphasizing the importance of adjusting integration boundaries. There appears to be a productive exchange of ideas, with one participant indicating they have resolved their confusion.

Contextual Notes

There is an implication of homework constraints, as participants are navigating the rules of substitution in the context of an improper integral.

vantz
Messages
13
Reaction score
0

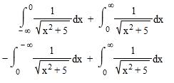
Homework Statement


f0uvk4.jpg



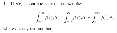
Homework Equations


b8papu.jpg



The Attempt at a Solution


33wtm6r.jpg


I'm trying to rewrite the integral as shown

Most probably a real simple answer

Thank you
 
Physics news on Phys.org
In the first integral, try substituting x for -x.
 
I don't understand, wouldn't that be illegal to do?
 
vantz said:
I don't understand, wouldn't that be illegal to do?

Yes, it would. But Compuchip meant to do a u-substitution. u=(-x), du=(-dx).
 
Exactly. And don't forget the integration boundaries as well.
 
I have it now. Thank you
 

Similar threads

  • · Replies 2 ·
Replies
2
Views
2K
  • · Replies 2 ·
Replies
2
Views
1K
  • · Replies 3 ·
Replies
3
Views
2K
  • · Replies 13 ·
Replies
13
Views
4K
  • · Replies 3 ·
Replies
3
Views
2K
  • · Replies 6 ·
Replies
6
Views
3K
  • · Replies 16 ·
Replies
16
Views
4K
  • · Replies 8 ·
Replies
8
Views
8K
  • · Replies 1 ·
Replies
1
Views
1K
Replies
4
Views
2K