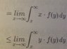
Show me how this equation is valid

  • Thread starter Thread starter oahz
  • Start date Start date
Click For Summary
SUMMARY

The discussion centers on the validity of the equation ##f \geq 0## and its implications for the inequality ##y \geq x \implies yf(y) \geq xf(y)##. Participants confirm that since y encompasses all values greater than or equal to x, the constant x is effectively substituted with the increasing function y within the integral. This substitution is crucial for understanding the behavior of the function in the context of the inequality.

PREREQUISITES
  • Understanding of basic calculus concepts, particularly integrals.
  • Familiarity with inequalities and their properties in mathematical analysis.
  • Knowledge of functions and their behavior, specifically increasing functions.
  • Basic comprehension of mathematical notation and symbols used in inequalities.
NEXT STEPS
  • Study the properties of increasing functions and their implications in calculus.
  • Explore the concept of integrals and how substitutions affect their evaluation.
  • Learn about inequalities in mathematical analysis and their applications.
  • Investigate the role of non-negative functions in integrals and inequalities.
USEFUL FOR

Mathematics students, educators, and anyone interested in deepening their understanding of inequalities and integrals in calculus.

oahz
Messages
13
Reaction score
0
Please, hurry. It's driving me nuts
 

Attachments

  • image.jpg
    image.jpg
    38 KB · Views: 462
Physics news on Phys.org
I suppose ##f \geq 0##? If so, ##y\geq x \implies yf(y) \geq xf(y)##.
 
Seconded. Note that y takes on every value >= x, so you have basically replaced the constant x with the increasing function y in the integral.
 

Similar threads

Replies
3
Views
2K
  • · Replies 6 ·
Replies
6
Views
3K
  • · Replies 5 ·
Replies
5
Views
1K
  • · Replies 30 ·
2
Replies
30
Views
1K
  • · Replies 1 ·
Replies
1
Views
1K
  • · Replies 19 ·
Replies
19
Views
3K
  • · Replies 3 ·
Replies
3
Views
3K
  • · Replies 71 ·
3
Replies
71
Views
5K
  • · Replies 1 ·
Replies
1
Views
2K
  • · Replies 2 ·
Replies
2
Views
2K