Simple math model for a Particle Image Velocimetry system

Click For Summary

Discussion Overview

The discussion revolves around developing a mathematical model for a Particle Image Velocimetry (PIV) system. Participants explore the radiative properties of particles illuminated by a laser, specifically focusing on the calculations of irradiance, power, and radiance emitted by the particles. The conversation includes considerations of scattering versus reflection and the appropriate use of albedo in the model.

Discussion Character

  • Technical explanation
  • Mathematical reasoning
  • Debate/contested

Main Points Raised

  • The original poster seeks to establish a mathematical model for a PIV system, detailing the steps for calculating irradiance, power, and radiance from a particle illuminated by a laser.
  • Some participants suggest that Mie scattering may be relevant to the discussion, particularly in relation to the size of the particle compared to the wavelength of the laser.
  • Others argue that the particle size being significantly larger than the wavelength may lead to typical reflection rather than scattering, questioning the applicability of Mie scattering in this scenario.
  • There is uncertainty expressed regarding the calculations in steps C and D, particularly about whether to consider the effects as scattering or reflection and the appropriate use of albedo.
  • A participant mentions that the radar cross section of a sphere is simply its cross-sectional area and that energy hitting this area is reflected isotropically.

Areas of Agreement / Disagreement

Participants do not reach a consensus on the applicability of Mie scattering versus reflection for the particle size in question. There is ongoing uncertainty regarding the calculations and the nature of the light interaction with the particle.

Contextual Notes

Participants express limitations in their understanding of the scattering versus reflection phenomena and the implications for their mathematical model. The discussion reflects varying interpretations of the physical processes involved.

TT_003
Messages
3
Reaction score
0
TL;DR
I am developing a simple mathematical model for a Particle Image Velocimetry (PIV) system. My goal is to calculate the resulting radiance L_r emitted by a particle illuminated by a 532 nm laser.
Hello togehter,

I am new to this forum and hope this post followed all the guidelines here (I tried to summarized my issue as clean as possible, two pictures are attached). I would appreciate every help:

I am doing research on a Particle Image Velocimetry (PIV) system. For this I want to set a simple math model for the system. I hope you can help me out. Regarding this I have 2 main Questions.

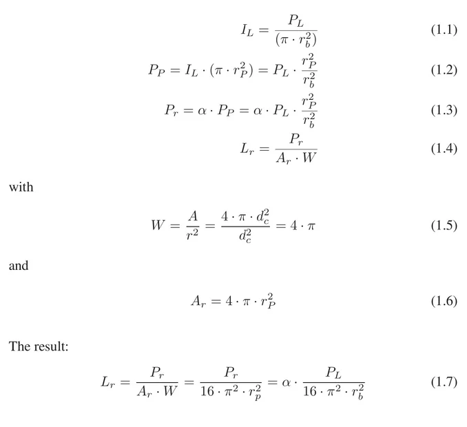
1. I am trying to find a math model which is describing what is happening in a simple Particle Image Velocimetry System. So I have a laser with a wavelength of 532nm (the laser has a power of P_L and the beam radius is r_b), which is for example hitting a particle in air with a radius of r_P = 50um (the whole sphere is completely in the beam). What is the resulting radiance L_r [in W·sr⁻¹·m⁻²] emitted by the illuminated particle (the radiance L_r I want to use later to calculate the amount of light that hits my camera system)?
The camera is in a distance d_c to the particle and is in a position where the laser light can not reach the camera directly (only the light which comes from the illuminated particle).
Attachement 1 - Equations.webp
Attachement 2 - Variable Description.webp

So my thoughts on the steps are (the equations are in attachement 1, and description of all variables are in attachement 2):
A. [Equation 1.1] Calculate irradiance I_L of my laser -> used simple top hat model for the laser
B. [Equation 1.2] Calculate power P_P which hits the particle (modeling as a sphere) -> using cross section of the sphere as the area
C. [Equation 1.3] Calculate the power P_r which leaves the particle -> Alpha is the Albedo of the particle
D. [Equation 1.4 - 1.6] Calculate radiance coming from the particle (assuming that the light is going in all direction equally [isotrop]) -> using the sphere surface as the area (A_r). W is the solid angle (using the distance d_c to the camera as r and the "big" sphere surface area in the distance d_c as A)
E. [Equation 1.7] Result is in equation 1.7

My biggest uncertainty is in step C and D -> Did I have the correct thought here?

2. So the effect on the sphere: is it scattering or body reflection? Or are both the same (I am a little confused about that)? Can I use the Albedo alpha here?

Thanks in advance for the help! I would appreciate every help.

P.S. if the calculation steps A-E are not correct or are confusing you can also ignore it and suggest a new mathematical way for the 1st question. Thank you so much!
 
Science news on Phys.org
I thought that, to get a better overview of the scenario, I add another image showing the setup and the problem statement. I hope the scenario is clearer that way. I would appreciate every help. Thank you in advance!
Attachement 3 - Overview Picture.webp
 
I suspect the concept you are seeking is Mie scattering.
 
berkeman said:
Even though his particle size is about 100x the laser wavelength?

https://en.wikipedia.org/wiki/Mie_scattering
Mie scattering applies to spherical particles with a size on the order of the wavelength of the incident light or larger. If they get sufficiently large, it turns into just a typical reflection rather than a true scattering event. I would think 50 microns still falls within the Mie scattering model.
 
Thank you for the replies. So the particle size is 50microns or greater. The value is an example, but to keep the math model as simple as possible I wanted to consider the typical geometric case (so that the particle emits the light isotropically).

Any idea whether my calculations are correct, especially steps C and D? Thank you again for any help.
 
The radar cross section of a sphere is simply pi r^2, its cross sectional area. The energy hitting this area is then reflected isotropically. Mie scattering will occur when the sphere is around its resonant frequency, which does not seem applicable in this case.
 
  • Informative
Likes   Reactions: berkeman

Similar threads

  • · Replies 2 ·
Replies
2
Views
2K
  • · Replies 15 ·
Replies
15
Views
2K
  • · Replies 14 ·
Replies
14
Views
3K
  • · Replies 40 ·
2
Replies
40
Views
5K
  • · Replies 8 ·
Replies
8
Views
4K
  • · Replies 1 ·
Replies
1
Views
2K
  • · Replies 1 ·
Replies
1
Views
4K
Replies
9
Views
3K
  • · Replies 1 ·
Replies
1
Views
2K
  • · Replies 27 ·
Replies
27
Views
8K