Simplify a fractional expression

Click For Summary
SUMMARY

The discussion focuses on simplifying the fractional expression $\frac{n}{p} - 1$. The key transformation presented is that this expression can be rewritten as $\frac{n - p}{p}$. Participants are encouraged to further simplify the denominator, indicating a deeper exploration of algebraic manipulation techniques. The conversation emphasizes the importance of understanding symbolic expressions in Algebra II.

PREREQUISITES
  • Understanding of fractional expressions in algebra
  • Familiarity with algebraic manipulation techniques
  • Knowledge of symbolic representation in mathematics
  • Basic skills in simplifying algebraic fractions
NEXT STEPS
  • Study techniques for simplifying complex fractions
  • Learn about algebraic identities and their applications
  • Explore the concept of common denominators in fraction simplification
  • Practice solving Algebra II problems involving fractional expressions
USEFUL FOR

Students in Algebra II, educators teaching algebraic concepts, and anyone looking to improve their skills in simplifying mathematical expressions.

breakfree
Messages
1
Reaction score
0
View attachment 8071

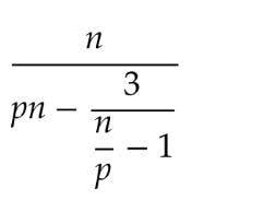
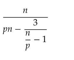
Please help with this algebra II question. It needs to be simplified. Thank you.
 

Attachments

  • unnamed (31).jpg
    unnamed (31).jpg
    2.7 KB · Views: 167
Last edited:
Mathematics news on Phys.org
Hello and welcome,

This is not a question, but rather a symbolic expression.

Would you like the expression simplified? One way is to note that $\frac{n}{p} - 1 = \frac{n - p}{p}$. How can you now simplify the denominator further?
 
Last edited:

Similar threads

  • · Replies 5 ·
Replies
5
Views
2K
Replies
1
Views
2K
  • · Replies 8 ·
Replies
8
Views
3K
  • · Replies 3 ·
Replies
3
Views
1K
  • · Replies 4 ·
Replies
4
Views
3K
  • · Replies 7 ·
Replies
7
Views
2K
  • · Replies 14 ·
Replies
14
Views
2K
  • · Replies 1 ·
Replies
1
Views
2K
  • · Replies 7 ·
Replies
7
Views
3K
  • · Replies 3 ·
Replies
3
Views
1K