Simplifying math expression help

Click For Summary

Homework Help Overview

The discussion revolves around the simplification of a mathematical expression, with participants exploring various approaches and interpretations of the problem.

Discussion Character

  • Exploratory, Assumption checking

Approaches and Questions Raised

  • Participants discuss whether the expression is meant to be simplified or if it was created by the original poster. There are suggestions of multiplying and factoring, as well as considerations of using partial fractions, though some express doubt about the feasibility of that approach.

Discussion Status

The discussion is ongoing, with participants offering different perspectives on the simplification process. Some guidance has been provided regarding potential methods, but there is no clear consensus on the best approach or the validity of certain techniques.

Contextual Notes

Participants question the context of the problem and whether the expression can indeed be simplified, indicating a lack of clarity in the original question.

7yler
Messages
31
Reaction score
0
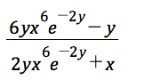
I'm really not sure how to approach simplifying something such as this. Could anyone offer any advice?
rcohgn.png
 
Physics news on Phys.org


Did the question ask you to simplify or is this an expression you made?

I really don't see any simplification that can happen. All I can think of is to multiply through by e2y and factorize out y/x
 


It can be done I think, by partial fraction...but that sounds crazy with this kind of function.
Correct me if I am wrong.
 


It really depends on the context of the question. I wouldn't call partial fractions more simple though.

p.s. I don't think you can break it up into partial fractions anyway.
 

Similar threads

  • · Replies 6 ·
Replies
6
Views
2K
  • · Replies 4 ·
Replies
4
Views
3K
  • · Replies 5 ·
Replies
5
Views
2K
  • · Replies 2 ·
Replies
2
Views
2K
  • · Replies 16 ·
Replies
16
Views
2K
Replies
4
Views
2K
  • · Replies 10 ·
Replies
10
Views
3K
  • · Replies 4 ·
Replies
4
Views
2K
  • · Replies 5 ·
Replies
5
Views
2K
Replies
15
Views
2K