Solve Constant Alpha's in Images: Help to Understand and Get Unstuck

Click For Summary

Discussion Overview

The discussion revolves around solving for constant coefficients in a recurrence relation involving characteristic roots, specifically focusing on a root of multiplicity 3. Participants seek clarification on the derivation of the closed-form solution and the correct notation for mathematical expressions.

Discussion Character

  • Technical explanation
  • Homework-related

Main Points Raised

  • One participant states that the book provides the answer as 1, 3, and -2 but expresses confusion about how this result was obtained.
  • Another participant identifies that the characteristic root is $r=-1$ with multiplicity 3 and provides a closed-form solution involving this root.
  • A participant acknowledges the feedback regarding the inclusion of "n" in the general form of the solution due to the repeated roots.
  • There are questions about how to write mathematical expressions correctly in the forum, with a suggestion that $\LaTeX$ is available for this purpose.

Areas of Agreement / Disagreement

Participants generally agree on the identification of the characteristic root and its multiplicity, but there is no consensus on the derivation of the specific constants or the overall solution.

Contextual Notes

Some assumptions about the recurrence relation and the specific context of the problem may be missing, which could affect the understanding of the solution process.

Who May Find This Useful

Students and individuals seeking help with recurrence relations, characteristic roots, and mathematical notation in online forums.

yakin
Messages
42
Reaction score
0
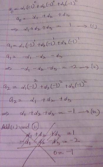
The book answer is 1, 3 and -2. I can't figure how they got it? Please help to understand and help me to get through where i got stuck.

Please look at images from bottom page to top page(where you see crossing on a page)
 

Attachments

  • partC.jpg
    partC.jpg
    21.1 KB · Views: 114
  • partB.jpg
    partB.jpg
    24.7 KB · Views: 104
  • partA.jpg
    partA.jpg
    24.7 KB · Views: 101
Physics news on Phys.org
You have correctly found that the characteristic root is $r=-1$ of multiplicity 3, however, you have not properly dealt with the fact that the root is repeated. Since this root is of multiplicity 3, the closed-form will be:

$$a_n=c_1(-1)^n+c_2n(-1)^n+c_3n^2(-1)^n=(-1)^n\left(c_1+c_2n+c_3n^2 \right)$$
 
Thank you for your feedback. I noticed that. I forgot to stick "n" in the general form of the solution with the repeated roots. Thanks though!

Question: How do you write maths directly with correct notation here? I have to take pics of my work and then upload the pics.
 
yakin said:
...
Question: How do you write maths directly with correct notation here? I have to take pics of my work and then upload the pics.

We have $\LaTeX$ implemented here to allow writing mathematical expressions.

Here is a link to a thread containing a pdf tutorial written by one of our staff:

http://mathhelpboards.com/latex-tips-tutorials-56/math-help-boards-latex-guide-pdf-1142.html
 

Similar threads

  • · Replies 5 ·
Replies
5
Views
2K
Replies
4
Views
857
  • · Replies 2 ·
Replies
2
Views
3K
  • · Replies 3 ·
Replies
3
Views
3K
  • · Replies 11 ·
Replies
11
Views
2K
  • · Replies 10 ·
Replies
10
Views
3K
  • · Replies 226 ·
8
Replies
226
Views
17K
  • · Replies 23 ·
Replies
23
Views
7K
  • · Replies 7 ·
Replies
7
Views
943
  • · Replies 3 ·
Replies
3
Views
2K