Solve for x in the denominator of the fraction

  • Context: MHB 
  • Thread starter Thread starter mathlearn
  • Start date Start date
  • Tags Tags
    Fraction
Click For Summary

Discussion Overview

The discussion revolves around solving for x in the denominator of a fraction, specifically addressing a mathematical equation involving fractions. Participants explore methods for solving the equation and seek clarification on the steps involved.

Discussion Character

  • Homework-related

Main Points Raised

  • One participant suggests using cross multiplication to solve the equation, arriving at a solution of 1/2 but expresses uncertainty about its correctness.
  • Another participant presents a step-by-step approach, starting from the equation $$\frac{7}{x}=14$$, leading to the conclusion that $$x=\frac{1}{2}$$.
  • A third participant acknowledges the help received and expresses gratitude.
  • A later reply reiterates the cross-multiplication method but clarifies that it is not applicable in this case due to the presence of addition, suggesting that making denominators equal is the correct approach.
  • Another participant expresses thanks again, indicating appreciation for the assistance provided.

Areas of Agreement / Disagreement

There is no clear consensus on the method to be used, as one participant advocates for cross multiplication while another emphasizes the need to make denominators equal. The discussion reflects differing views on the appropriate approach to solving the problem.

Contextual Notes

Participants have not fully resolved the method of solving the equation, and there is ambiguity regarding the application of cross multiplication versus making denominators equal.

mathlearn
Messages
331
Reaction score
0
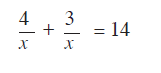
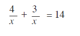
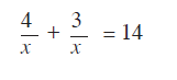
View attachment 5788

In this I think you should cross multiply ; I got 1/2 by doing so and I am not sure whether it is correct.Can you help me to solve this and be kind enough to explain your steps a little. :)
 

Attachments

  • Capturefrac.PNG
    Capturefrac.PNG
    710 bytes · Views: 120
Mathematics news on Phys.org
Combine terms on the left:

$$\frac{7}{x}=14$$

Divide through by 7:

$$\frac{1}{x}=2$$

Invert both sides:

$$x=\frac{1}{2}$$ :)
 
Many Thanks. :)
 
mathlearn said:
In this I think you should cross multiply ; I got 1/2 by doing so and I am not sure whether it is correct.Can you help me to solve this and be kind enough to explain your steps a little. :)

We cross-multiply when we replace the division symbol with multiplication symbol.

In this case we have addition, where we make denominators equal (and do not cross-multiply).

Main help is already provided by MarkFL.
 
Many Thanks (Smile)
 

Similar threads

  • · Replies 10 ·
Replies
10
Views
3K
  • · Replies 5 ·
Replies
5
Views
3K
  • · Replies 8 ·
Replies
8
Views
17K
  • · Replies 9 ·
Replies
9
Views
2K
  • · Replies 2 ·
Replies
2
Views
2K
  • · Replies 4 ·
Replies
4
Views
3K
Replies
2
Views
1K
  • · Replies 1 ·
Replies
1
Views
2K
  • · Replies 12 ·
Replies
12
Views
5K
  • · Replies 21 ·
Replies
21
Views
2K