Solve the given clairaut equation

  • Thread starter Thread starter Marcin H
  • Start date Start date
Click For Summary
SUMMARY

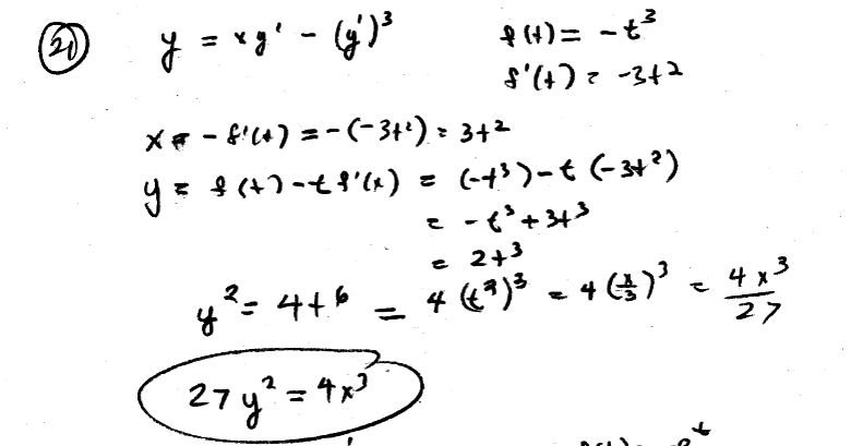
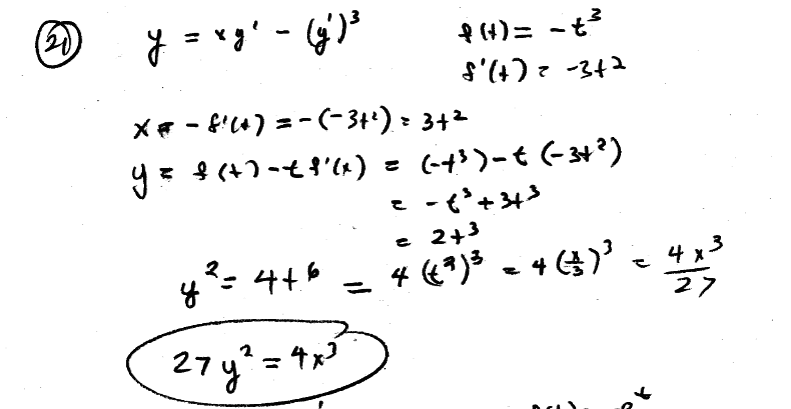
The discussion focuses on solving a Clairaut equation, specifically the equations x = -f'(t) and y = f(t) - tf'(t). The user successfully derived y = 2t^3 and x = 3t^2 but struggled to understand how to eliminate the parameter t to arrive at the equation y^2 = 4t^6. Another participant clarified that cubing x and squaring y allows for the elimination of t, leading to the desired relationship.

PREREQUISITES
  • Understanding of Clairaut equations
  • Familiarity with derivatives and parameter elimination
  • Knowledge of algebraic manipulation techniques
  • Basic calculus concepts
NEXT STEPS
  • Study the method of parameter elimination in differential equations
  • Learn more about Clairaut's equations and their applications
  • Explore algebraic techniques for manipulating equations
  • Review calculus concepts related to derivatives and their interpretations
USEFUL FOR

Students studying differential equations, particularly those focusing on Clairaut equations, as well as educators and tutors assisting with calculus homework.

Marcin H
Messages
306
Reaction score
6

Homework Statement


Screen Shot 2016-02-11 at 1.16.04 PM.png


Homework Equations


x=-f'(t)
y=f(t)-tf'(t)

The Attempt at a Solution


Solution in picture. This is the solution to this problem, but I have no idea where the y^2=4t^6 comes from. Doin this problem I get everything up until y=2t^3 and then using x=3t^2 I solved for t and plugged it in, but that's not working. I did every other clairaut's problem like this, but I have no idea where this one goes after the y=2t^3 step.
 
Physics news on Phys.org
Marcin H said:

Homework Statement


View attachment 95671

Homework Equations


x=-f'(t)
y=f(t)-tf'(t)

The Attempt at a Solution


Solution in picture. This is the solution to this problem, but I have no idea where the y^2=4t^6 comes from. Doin this problem I get everything up until y=2t^3 and then using x=3t^2 I solved for t and plugged it in, but that's not working. I did every other clairaut's problem like this, but I have no idea where this one goes after the y=2t^3 step.

You have ##x = 3t^2## and ##y=2t^3##. He is just eliminating the ##t## by noting if you cube the ##x## and sqare the ##y## both equations will have a ##t^6## so you can eliminate it easily.

It would be much easier to follow the thread if you would type the equations instead of posting images, as per forum rules.
 
Marcin H said:

Homework Statement


View attachment 95671

Homework Equations


x=-f'(t)
y=f(t)-tf'(t)

The Attempt at a Solution


Solution in picture. This is the solution to this problem, but I have no idea where the y^2=4t^6 comes from. Doin this problem I get everything up until y=2t^3 and then using x=3t^2 I solved for t and plugged it in, but that's not working. I did every other clairaut's problem like this, but I have no idea where this one goes after the y=2t^3 step.
ohhhhhhh. I see that now. Thank you! :smile:
 

Similar threads

  • · Replies 2 ·
Replies
2
Views
2K
Replies
2
Views
1K
  • · Replies 10 ·
Replies
10
Views
2K
  • · Replies 5 ·
Replies
5
Views
1K
  • · Replies 11 ·
Replies
11
Views
4K
  • · Replies 3 ·
Replies
3
Views
2K
  • · Replies 6 ·
Replies
6
Views
2K
Replies
3
Views
2K
Replies
7
Views
2K
Replies
8
Views
3K