Solve the given trigonometry problem

  • Thread starter Thread starter chwala
  • Start date Start date
  • Tags Tags
    Trigonometry
Click For Summary

Homework Help Overview

The discussion revolves around a trigonometry problem involving the expressions for sin and cos of two angles, x and y, in relation to a variable a. Participants explore various algebraic manipulations and identities to express these trigonometric functions in terms of a.

Discussion Character

  • Exploratory, Mathematical reasoning, Assumption checking

Approaches and Questions Raised

  • Participants present different approaches to relate sin x + cos x to the variable a, including squaring terms and using trigonometric identities. Some express uncertainty about the implications of their manipulations, while others question the validity of assumptions made regarding the values of a.

Discussion Status

The discussion is active, with multiple interpretations of the problem being explored. Some participants have offered insights into the relationships between the angles and the variable a, while others express confusion about specific steps in their reasoning. There is no explicit consensus on the correct approach, but various lines of reasoning are being examined.

Contextual Notes

Participants note that the problem states a ≠ 0, which influences the range of possible solutions. There is also mention of the implications of squaring terms and how it may introduce extraneous solutions, leading to further questioning of the assumptions made in the problem setup.

chwala
Gold Member
Messages
2,841
Reaction score
428
Homework Statement
See attached
Relevant Equations
Trigonometry
1667990729700.png


text solution here;

1667990926309.png

I was solving this today...got stuck and wanted to consult here...but i eventually found the solution...any insight/alternative approach is welcome...
My approach;

...
##\sin^2y+ cos^2 y= 2a^2-2a \sin x - 2a\cos x+1##

It follows that,##2a(\sin x + \cos x)=2a^2##

##\sin x+\cos x=a##

cheers.
 
  • Like
Likes   Reactions: neilparker62 and anuttarasammyak
Physics news on Phys.org
Good job :thumbup:

I would just add a short conjecture. x and y are exchangeable in the formula given and
[tex]\sin x+\sin y + \cos x + \cos y=2a[/tex]
So we may guess
[tex]\sin x+\cos x = \sin y + \cos y=a[/tex]
 
  • Like
Likes   Reactions: chwala and Lnewqban
chwala said:
sin⁡x+cos⁡x=a
By squaring
[tex]2 \sin x \cos x = a^2-1[/tex]
So[tex]x,y=\theta, \frac{\pi}{2}-\theta[/tex]where
[tex]\theta= \frac{1}{2} \sin^{-1}(a^2-1)[/tex]
 
  • Like
Likes   Reactions: SammyS
anuttarasammyak said:
By squaring [tex]2 \sin x \cos x = a^2-1[/tex] So[tex]x,y=\theta, \frac{\pi}{2}-\theta[/tex]where [tex]\theta= \frac{1}{2} \sin^{-1}(a^2-1)[/tex]
Your solution is quite interesting.

Of course, the problem stated in the OP only asked that ##\sin x +\sin y ## be given in terms of ##a## .

... but to pursue your solution further:

Since ##\displaystyle \sin 2x = a^2-1##, the range of values for ##a## is limited if there is to be any real solution for ##x##..
 
  • Like
Likes   Reactions: anuttarasammyak and chwala
I solve it in a different way.

1668054832135.png
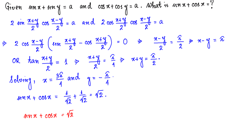
I get ##\sin x+\cos x = \sqrt 2##. Can someone tell me where am I mistaken?
 
  • Like
Likes   Reactions: chwala and anuttarasammyak
brotherbobby said:
I solve it in a different way.

View attachment 316966I get ##\sin x+\cos x = \sqrt 2##. Can someone tell me where am I mistaken?
Mythoughts on this...

We know that

##\sin x + \sin y = 2 \sin \dfrac {x+y}{2} ⋅ \cos \dfrac {x-y}{2}=a##

and

##\cos x + \cos y =2 \cos \dfrac{x+y} {2}⋅\cos \dfrac {x-y}{2}=a##

##⇒4⋅\sin^2 \left[\dfrac{x+y}{2}\right] ⋅ cos^2 \left[\dfrac{x-y}{2}\right]=a^2##

##⇒4⋅\cos^2 \left[\dfrac{x+y}{2}\right] ⋅ cos^2 \left[\dfrac{x-y}{2}\right]=a^2##

on adding the two we end up with;

##cos^2 \left[\dfrac{x-y}{2}\right]\left(4⋅\sin^2 \left[\dfrac{x+y}{2}\right]+4⋅\cos^2 \left[\dfrac{x+y}{2}\right]\right)=2a^2##

##4⋅cos^2 \left[\dfrac{x-y}{2}\right]=2a^2##

##cos^2 \left[\dfrac{x-y}{2}\right]=\dfrac{2a^2}{4}##

##⇒cos\left[\dfrac{x-y}{2}\right]=\dfrac{a}{\sqrt{2}}##

Therefore on substituting back to our equation;

##2 \sin \dfrac {x+y}{2} ⋅ \cos \dfrac {x-y}{2}=a##

and

##2 \cos \dfrac{x+y} {2}⋅\cos \dfrac {x-y}{2}=a##

we get;

##2 \sin \dfrac {x+y}{2} ⋅ \dfrac{a}{\sqrt{2}}=a##

##2 \cos \dfrac{x+y} {2}⋅\dfrac{a}{\sqrt{2}}=a##

##⇒\sin \dfrac {x+y}{2}=\dfrac{\sqrt{2}}{2}##

##⇒\cos \dfrac {x+y}{2}=\dfrac{\sqrt{2}}{2}##

##⇒x+y=\dfrac{π}{2}##

Let ##x=y## then ##x=y=\dfrac{π}{4}##

##\sin x +\cos x=\sin \dfrac{π}{4} +\cos \dfrac{π}{4}=\sqrt{2}##

but;
##⇒\cos\left[\dfrac{x-y}{2}\right]=\dfrac{a}{\sqrt{2}}##

since ##x=y## then;

##1=\dfrac{a}{\sqrt{2}}##

##⇒a=\sqrt{2}##

Therefore;

##\sin x + \cos x= a##
 
Last edited:
SammyS said:
Since sin⁡2x=a2−1, the range of values for a is limited if there is to be any real solution for x..
For real x
[tex]0 < |a| \leq \sqrt{2}[/tex] as a ##\neq## 0 in the problem statement.
I wonder whether and why sign of a does not matter with the solution. So as another way without squaring,
[tex]\sqrt{2}\sin(x+\frac{\pi}{4})=a[/tex]
[tex]x=\sin^{-1}\frac{a}{\sqrt{2}}-\frac{\pi}{4}[/tex]
with y
[tex]x,y=\sin^{-1}\frac{a}{\sqrt{2}}-\frac{\pi}{4},-\sin^{-1}\frac{a}{\sqrt{2}}+\frac{3\pi}{4}[/tex]
where sign of a matters.
 
Last edited:
brotherbobby said:
I solve it in a different way.

View attachment 316966I get ##\sin x+\cos x = \sqrt 2##. Can someone tell me where am I mistaken?
[tex]x-y=\pi[/tex]
,which gives a=0 the prohibited value, does not have AND relation but OR relation with
[tex]x+y=\frac{\pi}{2}[/tex]
,which allows a to be variable, in getting the solution.
 
Last edited:
  • Like
Likes   Reactions: chwala and SammyS
chwala said:
Mythoughts on this...

We know that

##\sin x + \sin y = 2 \sin \dfrac {x+y}{2} ⋅ \cos \dfrac {x-y}{2}=a##

and

##\cos x + \cos y =2 \cos \dfrac{x+y} {2}⋅\cos \dfrac {x-y}{2}=a##

##⇒4⋅\sin^2 \left[\dfrac{x+y}{2}\right] ⋅ cos^2 \left[\dfrac{x-y}{2}\right]=a^2##

##⇒4⋅\cos^2 \left[\dfrac{x+y}{2}\right] ⋅ cos^2 \left[\dfrac{x-y}{2}\right]=a^2##

on adding the two we end up with;

##cos^2 \left[\dfrac{x-y}{2}\right]\left(4⋅\sin^2 \left[\dfrac{x+y}{2}\right]+4⋅\cos^2 \left[\dfrac{x+y}{2}\right]\right)=2a^2##

##4⋅cos^2 \left[\dfrac{x-y}{2}\right]=2a^2##

##cos^2 \left[\dfrac{x-y}{2}\right]=\dfrac{2a^2}{4}##

##⇒cos\left[\dfrac{x-y}{2}\right]=\dfrac{a}{\sqrt{2}}##

Therefore on substituting back to our equation;

##2 \sin \dfrac {x+y}{2} ⋅ \cos \dfrac {x-y}{2}=a##

and

##2 \cos \dfrac{x+y} {2}⋅\cos \dfrac {x-y}{2}=a##

we get;

##2 \sin \dfrac {x+y}{2} ⋅ \dfrac{a}{\sqrt{2}}=a##

##2 \cos \dfrac{x+y} {2}⋅\dfrac{a}{\sqrt{2}}=a##

##⇒\sin \dfrac {x+y}{2}=\dfrac{\sqrt{2}}{2}##

##⇒\cos \dfrac {x+y}{2}=\dfrac{\sqrt{2}}{2}##

##⇒x+y=\dfrac{π}{2}##

Let ##x=y## then ##x=y=\dfrac{π}{4}##

##\sin x +\cos x=\sin \dfrac{π}{4} +\cos \dfrac{π}{4}=\sqrt{2}##

but;
##⇒\cos\left[\dfrac{x-y}{2}\right]=\dfrac{a}{\sqrt{2}}##

since ##x=y## then;

##1=\dfrac{a}{\sqrt{2}}##

##⇒a=\sqrt{2}##

Therefore;

##\sin x + \cos x= a##
That is fine, but where am I mistaken in my solution in post #5 above?

You get ##cos\left[\dfrac{x-y}{2}\right]=\dfrac{a}{\sqrt{2}}##.

But I get ##cos\left[\dfrac{x-y}{2}\right]=0##.

We are both using correct math. But one of us has got to be wrong.

I agree it looks like I am. I just want to know where.

I paste my solution again. Please let me know when you get the time.

1668173882058.png
 
  • #10
anuttarasammyak said:
View attachment 317015
Fine. Let us investigate  
[tex]x-y=\pi[/tex]
[tex]a=\sin x+\sin y=\sin (\pi+y)+\sin y = -\sin y + \sin y =0[/tex]
but the problem says ##a \neq 0##. So we should avoid it and go to another possibility that you wrote after OR in your last line. This was a repeat of post #8.
Correct. Please carry on.
 
  • #11
brotherbobby said:
That is fine, but where am I mistaken in my solution in post #5 above?

You get ##cos\left[\dfrac{x-y}{2}\right]=\dfrac{a}{\sqrt{2}}##.

But I get ##cos\left[\dfrac{x-y}{2}\right]=0##.

We are both using correct math. But one of us has got to be wrong.

I agree it looks like I am. I just want to know where.

I paste my solution again. Please let me know when you get the time.

View attachment 317014
You have $$\begin{align} & 2\sin\left(\frac{x+y}{2}\right) \cos\left(\frac{x-y}{2}\right)=a \nonumber \\ & 2\cos\left(\frac{x+y}{2}\right) \cos\left(\frac{x-y}{2}\right)=a \nonumber
\end{align}$$If you divide the top equation by the bottom, you get $$\tan\left(\frac{x+y}{2}\right)=1 \implies \frac{x+y}{2}=\frac{\pi}{4}.$$ Explore where that takes you.
 
  • Like
Likes   Reactions: chwala

Similar threads

  • · Replies 7 ·
Replies
7
Views
2K
  • · Replies 7 ·
Replies
7
Views
2K
  • · Replies 7 ·
Replies
7
Views
3K
Replies
4
Views
4K
  • · Replies 18 ·
Replies
18
Views
2K
Replies
5
Views
3K
Replies
7
Views
2K
Replies
3
Views
2K
  • · Replies 4 ·
Replies
4
Views
2K
  • · Replies 26 ·
Replies
26
Views
2K