Solving a 2D PDE using the Fourier Transform

Click For Summary

Homework Help Overview

The discussion revolves around solving a two-dimensional partial differential equation (PDE) using Fourier transforms. Participants are exploring the implications of initial conditions and the appropriateness of different transformation methods for the variables involved.

Discussion Character

  • Exploratory, Conceptual clarification, Mathematical reasoning, Assumption checking

Approaches and Questions Raised

  • Participants discuss the use of spectral variables for the x and t dimensions and the resulting equations after applying the Fourier transform. Questions arise regarding the next steps after simplification and the incorporation of initial conditions. There is also a consideration of whether the Fourier transform is suitable for the time variable.

Discussion Status

Some participants have suggested alternative methods, such as the Laplace transform, to better handle the initial conditions and the nature of the time variable. Others are questioning the reasoning behind the limitations of the Fourier transform in this context and are seeking clarification on these points.

Contextual Notes

There is an ongoing discussion about the restrictions imposed by the initial conditions and the nature of the time variable in relation to the Fourier transform. Participants are navigating the complexities of transforming both variables and the implications of their choices on the problem-solving process.

CGandC
Messages
326
Reaction score
34

Homework Statement


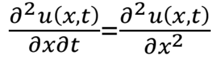
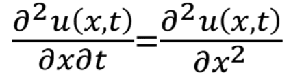
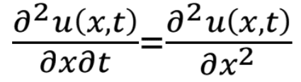
Solve the following partial differential equation , using Fourier Transform:
upload_2018-11-28_20-50-28.png


Given the following:
upload_2018-11-28_20-50-47.png


And a initial condition:
upload_2018-11-28_20-51-5.png

Homework Equations

The Attempt at a Solution



First , i associate spectral variables to the x and t variables:
## k ## is the spectral variable corresponding to ## x ##
## \omega ## is the spectral variable corresponding to ## t ##

Using Fourier transform on the PDE , i get:

## (i\omega)(ik)\widetilde{u(\omega,k)}=(ik)^2 \widetilde{u(\omega,k)} ##

After simplifying , I get : ## \omega = k ##

How am I supposed to proceed from here? ( I didn't find ## \widetilde{u(\omega,k)} ## )
 

Attachments

  • upload_2018-11-28_20-50-28.png
    upload_2018-11-28_20-50-28.png
    5.5 KB · Views: 1,025
  • upload_2018-11-28_20-50-47.png
    upload_2018-11-28_20-50-47.png
    3.3 KB · Views: 937
  • upload_2018-11-28_20-51-5.png
    upload_2018-11-28_20-51-5.png
    5 KB · Views: 916
Physics news on Phys.org
CGandC said:

Homework Statement


Solve the following partial differential equation , using Fourier Transform:
View attachment 234811

Given the following:
View attachment 234812

And a initial condition:
View attachment 234813

Homework Equations

The Attempt at a Solution



First , i associate spectral variables to the x and t variables:
## k ## is the spectral variable corresponding to ## x ##
## \omega ## is the spectral variable corresponding to ## t ##

Using Fourier transform on the PDE , i get:

## (i\omega)(ik)\widetilde{u(\omega,k)}=(ik)^2 \widetilde{u(\omega,k)} ##

After simplifying , I get : ## \omega = k ##

How am I supposed to proceed from here? ( I didn't find ## \widetilde{u(\omega,k)} ## )

Your method fails because it has no straightforward way to incorporate the initial condition on ##u(x,0).## If I were doing the problem I would just take the ##x##-transform, and write
$$u(x,t) = \int_R \tilde{u}(k,t) e^{-ik x} \, dk$$ and so transform the PDE to
$$(-ik) \frac{\partial \tilde{u}(k,t)}{\partial t} = (-ik)^2 \tilde{u}(k,t), $$
with ##\tilde{u}(k,0) = ## Fourier transform of the given function ##u(x,0).##

However, if you really insist on transforming both variables ##x## and ##t## you should recognize that the Fourier transform does not fit well with the restriction ##t \geq 0.## It would be better to use the Laplace transform
$$g(s) =( {\cal L} f)(s) = \int_0^\infty e^{-st} f(t) \, dt,$$
and to recognize the possibility of acknowledging the initial condition through the standard property
$$({\cal L}\, dt/dt)(s) = s ({\cal L} f)(s) - f(0).$$ You will get a solvable transformed system: try it and see.
 
  • Like
Likes   Reactions: CGandC and Delta2
Ray Vickson said:
Your method fails because it has no straightforward way to incorporate the initial condition on ##u(x,0).## If I were doing the problem I would just take the ##x##-transform, and write
$$u(x,t) = \int_R \tilde{u}(k,t) e^{-ik x} \, dk$$ and so transform the PDE to
$$(-ik) \frac{\partial \tilde{u}(k,t)}{\partial t} = (-ik)^2 \tilde{u}(k,t), $$
with ##\tilde{u}(k,0) = ## Fourier transform of the given function ##u(x,0).##

However, if you really insist on transforming both variables ##x## and ##t## you should recognize that the Fourier transform does not fit well with the restriction ##t \geq 0.## It would be better to use the Laplace transform
$$g(s) =( {\cal L} f)(s) = \int_0^\infty e^{-st} f(t) \, dt,$$
and to recognize the possibility of acknowledging the initial condition through the standard property
$$({\cal L}\, dt/dt)(s) = s ({\cal L} f)(s) - f(0).$$ You will get a solvable transformed system: try it and see.

I managed to solve the question , like you meant - using the restriction that the time variable ## t ## is not Fourier transformable ( meaning: I only use Fourier transform on the x variable ) .

But I don't fully understand why the time variable ## t ## is not Fourier transformable , can you please elaborate?
 
CGandC said:
I managed to solve the question , like you meant - using the restriction that the time variable ## t ## is not Fourier transformable ( meaning: I only use Fourier transform on the x variable ) .

But I don't fully understand why the time variable ## t ## is not Fourier transformable , can you please elaborate?
I did not say it was not Fourier transformable; I said that the Fourier transform does not fit well in that case.

Of course, you can always take the F.T. of a function of the form
$$F(t) = \begin{cases} 0 & t < 0\\
f(t) & t \geq 0
\end{cases} $$
because you can perform the Fourier integral. However, such problems fit more nicely into the area of Laplace transforms (which are, essentially, Fourier transforms at a complex argument ##k##). But go ahead and do the Fourier transform if you want to; just remember that the formula for the transform of ##df/dt## will not be what you think it is. You will need extra terms corresponding to the value of ##f(0)##. I will let you work it out for yourself, or look it up somewhere.
 

Similar threads

Replies
1
Views
3K
  • · Replies 1 ·
Replies
1
Views
2K
  • · Replies 5 ·
Replies
5
Views
2K
  • · Replies 3 ·
Replies
3
Views
2K
Replies
5
Views
2K
  • · Replies 11 ·
Replies
11
Views
3K
  • · Replies 12 ·
Replies
12
Views
2K
  • · Replies 3 ·
Replies
3
Views
3K
  • · Replies 9 ·
Replies
9
Views
3K
  • · Replies 4 ·
Replies
4
Views
3K