Solving a Puzzling Equation: -e-x + e+x/2i

  • Thread starter Thread starter struggles
  • Start date Start date
Click For Summary

Homework Help Overview

The discussion revolves around understanding the manipulation of a complex equation involving the imaginary unit \( i \). Participants are exploring the equivalence of expressions and the properties of complex numbers, particularly focusing on the term \( \frac{1}{i} \) and its implications.

Discussion Character

  • Conceptual clarification, Mathematical reasoning, Assumption checking

Approaches and Questions Raised

  • Participants are attempting to understand how the term \( \frac{1}{i} \) transforms into \( -i \) and what this means for the properties of \( i \). Questions are raised about the definition of \( i \) and its mathematical implications.

Discussion Status

The discussion is actively exploring the properties of the imaginary unit \( i \) and its reciprocal. Some participants are providing hints and insights into the relationship between \( i \) and its inverse, while others are seeking clarification on these concepts. There is a collaborative effort to deepen understanding without reaching a definitive conclusion.

Contextual Notes

Participants are working under the assumption that a basic understanding of complex numbers is necessary, and there is a focus on the definitions and properties of \( i \) as they relate to the problem at hand.

struggles
Messages
49
Reaction score
0

Homework Statement


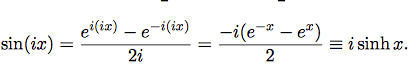
So this is a really simple problem and i know I'm missing something really obvious but i just can't spot it.

Screen Shot 2016-05-16 at 15.48.10.png


Homework Equations

The Attempt at a Solution


so in the second part above I get :
e-x - ex/2i. However I don't get the next bit as the 2i on the denominator is now factored into the top equation to give -ie-x + iex/2. I don't get how the 2 equations are equivalent and what they've done to get the i from the denominator to the numerator. If anyone could explain how this happened that'd be great!
 
Physics news on Phys.org
What is i?
 
Do you know what ##1/i## is?
 
axmls said:
Do you know what ##1/i## is?
i-1?
 
struggles said:
i-1?
First answer my question and then use it to answer struggles'. ##i^{-1}## is simply another form of ##\frac{1}{i}## which doesn't really help.
 
Suppose you didn't know what ##i## is
but it seems that (from your second equals sign) ##\frac {1}{i}= -i##... what must ##i## satisfy?
 
robphy said:
Suppose you didn't know what ##i## is
but it seems that (from your second equals sign) ##\frac {1}{i}= -i##... what must ##i## satisfy?
How is it defined? What stands ##i## for? There must have been some explanation for it.
Remark: Sorry, for confusing your names, struggles and axmls!
 
Though it isn't obvious that this is the way to find this, here's a hint:
$$\frac{1}{i} = \frac{1}{i} \frac{i}{i}$$
 
so i = √-1 so i2 = -1. so 1/i must equal 1/(-1)1/2 = (-1)-1/2? is that what you were getting at fresh-_42?
So axmls 1/i = i/i^2 = -i! Thanks both of you!
 

Similar threads

  • · Replies 5 ·
Replies
5
Views
1K
Replies
8
Views
2K
Replies
3
Views
2K
  • · Replies 8 ·
Replies
8
Views
3K
  • · Replies 14 ·
Replies
14
Views
2K
  • · Replies 5 ·
Replies
5
Views
2K
  • · Replies 8 ·
Replies
8
Views
2K
Replies
3
Views
3K
Replies
6
Views
3K
  • · Replies 3 ·
Replies
3
Views
1K