Solving Analytic Function: F(x) Expression

  • Thread starter Thread starter asi123
  • Start date Start date
  • Tags Tags
    Function
Click For Summary

Homework Help Overview

The discussion revolves around the existence of an analytic function F(x) that satisfies a specific expression related to integration and logarithmic functions. Participants are exploring the properties of analytic functions and the implications of integration techniques.

Discussion Character

  • Exploratory, Conceptual clarification, Mathematical reasoning, Assumption checking

Approaches and Questions Raised

  • Participants discuss integration techniques, particularly substitution, and question the implications of using logarithmic functions in defining analytic functions. There is a focus on the continuity and analyticity of the logarithm in relation to specific points in the complex plane.

Discussion Status

The discussion is active, with participants raising questions about the continuity of the logarithmic function and its implications for analyticity. Some guidance has been offered regarding the nature of the antiderivative and its relation to known problems in complex analysis.

Contextual Notes

There are constraints regarding the definition of the logarithmic function and its behavior around certain points in the complex plane, particularly concerning the negative x-axis and points +/-2i.

asi123
Messages
254
Reaction score
0

Homework Statement



Hey guys.
I'm pretty much stuck on this one.
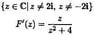
The question is, is there an analytic function F(x) which fulfill the expression in the pic? (I'm sure I messed up the English, sorry :confused:)

Thanks


Homework Equations





The Attempt at a Solution

 

Attachments

  • 1.jpg
    1.jpg
    3.7 KB · Views: 443
Physics news on Phys.org
Integrate by letting u= z2+ 4.
 
HallsofIvy said:
Integrate by letting u= z2+ 4.
I need to Integrate this thing in order to find the function?
What do you mean by "letting u= z2+ 4"?

Thanks a lot.
 
asi123 said:
I need to Integrate this thing in order to find the function?
What do you mean by "letting u= z2+ 4"?

Thanks a lot.

Integration by substitution?
 
Gregg said:
Integration by substitution?

Oh, ok so I got half Ln of something, is that the function? seems too easy...

Thanks a lot.
 
But does log(z^2+4) define an analytic function on the plane minus those two points? Can you pick values of the log that make it continuous everywhere? What happens with the 'function' log(z) as you move in a circle around the origin?
 
Dick said:
But does log(z^2+4) define an analytic function on the plane minus those two points? Can you pick values of the log that make it continuous everywhere? What happens with the 'function' log(z) as you move in a circle around the origin?

Yeah right, it's not analytic unless you take off the entire x negative axis.
So does that mean that such analytic function does not exist?

Thanks a lot.
 
asi123 said:
Yeah right, it's not analytic unless you take off the entire x negative axis.
So does that mean that such analytic function does not exist?

Thanks a lot.

That's the general picture, yes. You can write the antiderivative as log(z+2i)+log(z-2i). You have exactly the same kind of problem as log(z) has around the points +/-2i.
 
Dick said:
That's the general picture, yes. You can write the antiderivative as log(z+2i)+log(z-2i). You have exactly the same kind of problem as log(z) has around the points +/-2i.

Ok, Thanks.
 

Similar threads

  • · Replies 1 ·
Replies
1
Views
1K
  • · Replies 2 ·
Replies
2
Views
2K
  • · Replies 6 ·
Replies
6
Views
2K
Replies
1
Views
2K
  • · Replies 13 ·
Replies
13
Views
2K
  • · Replies 13 ·
Replies
13
Views
3K
Replies
3
Views
2K
  • · Replies 9 ·
Replies
9
Views
2K
  • · Replies 16 ·
Replies
16
Views
2K
Replies
7
Views
2K