Solving Gauss's Law for Constant Electric Field: q, a, b

  • Thread starter Thread starter Minakami
  • Start date Start date
  • Tags Tags
    Gauss's law Law
Click For Summary
SUMMARY

The discussion focuses on solving Gauss's Law for a spherical region where the charge density is defined as \(\rho = A/r\) and a point charge \(q\) is located at the center. The conclusion reached is that the constant \(A\) must equal \(q/(2\pi a^2\) to ensure a constant electric field in the region defined by \(a < r < b\). Participants emphasized the importance of correctly identifying the volume element in the Gaussian surface calculations to arrive at the correct solution.

PREREQUISITES
  • Understanding of Gauss's Law in electrostatics
  • Familiarity with spherical coordinates and volume elements
  • Knowledge of electric field concepts and charge distributions
  • Basic calculus for integrating charge density functions
NEXT STEPS
  • Study the derivation of Gauss's Law in spherical coordinates
  • Learn about charge density functions and their implications on electric fields
  • Explore the concept of Gaussian surfaces and their applications in electrostatics
  • Investigate the relationship between electric field strength and charge distribution
USEFUL FOR

This discussion is beneficial for physics students, educators, and anyone studying electrostatics, particularly those interested in applying Gauss's Law to solve problems involving non-uniform charge distributions.

Minakami
Messages
4
Reaction score
0

Homework Statement


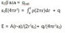
The spherical region a < r < b carries a charge per unit volume of [tex]\rho[/tex] = A/r, where A is a constant. At the center (r = 0) of the enclosed cavity is a point charge q. What should be the value of A so that the electric field in the region a< r < b has constant magnitude?

The answer says A = q/(2pi a2)

2. The attempt at a solution
I drew a sphere with radius r as a Gaussian surface.
My work is in the attachment.

I got stuck from that point. I need help :!)
 

Attachments

  • gg.jpg
    gg.jpg
    9 KB · Views: 1,181
Physics news on Phys.org
You go wrong in the second line, the right-hand side: the volume element is NOT [itex]2\pi r dr[/itex], but...

Otherwise, you got the right idea.
 

Similar threads

  • · Replies 6 ·
Replies
6
Views
4K
  • · Replies 6 ·
Replies
6
Views
3K
  • · Replies 5 ·
Replies
5
Views
1K
Replies
2
Views
2K
Replies
9
Views
2K
  • · Replies 5 ·
Replies
5
Views
3K
  • · Replies 1 ·
Replies
1
Views
1K
  • · Replies 5 ·
Replies
5
Views
2K
  • · Replies 9 ·
Replies
9
Views
3K
  • · Replies 29 ·
Replies
29
Views
2K