Solving System of PDEs: Analytical Methods & Solutions

  • Context: Graduate 
  • Thread starter Thread starter satu
  • Start date Start date
  • Tags Tags
    Pdes
Click For Summary

Discussion Overview

The discussion revolves around solving a system of two partial differential equations (PDEs) related to hydrodynamic stability. Participants explore analytical methods for addressing these equations, including boundary conditions and the implications of stability definitions.

Discussion Character

  • Exploratory
  • Technical explanation
  • Debate/contested
  • Mathematical reasoning

Main Points Raised

  • One participant requests help with solving a system of PDEs analytically, questioning if there is a general method for such problems.
  • Clarifications are sought regarding notation, specifically whether certain symbols represent partial derivatives.
  • Concerns are raised about the lack of information regarding boundary conditions, the domain, and functional spaces necessary for solving the PDEs.
  • Another participant suggests that the problem involves normal modes and proposes a specific form for the solutions based on boundary conditions.
  • There is a discussion about the definition of stability, with one participant expressing skepticism about the formulation of boundary conditions and the nature of the variables involved.
  • A later reply discusses the potential connection of the PDEs to marginal stability in Rayleigh-Benard convection, suggesting a method to convert the PDEs into a system of ordinary differential equations (ODEs) for further analysis.
  • Participants note the need for additional boundary conditions to properly analyze the system, highlighting the complexity of the problem.

Areas of Agreement / Disagreement

Participants express differing views on the formulation of boundary conditions and the interpretation of stability in the context of the problem. There is no consensus on the correct approach or the validity of the proposed methods.

Contextual Notes

Limitations include the absence of complete boundary conditions and the potential misinterpretation of variables. The discussion reflects uncertainty regarding the nature of the problem and the assumptions made by participants.

satu
Messages
3
Reaction score
0
TL;DR
Methods to find solutions of system of PDEs
HI
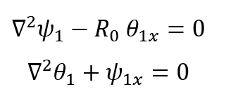
HI! While trying to solve problem in Hydrodynamic stability I have got a system of Two Partial Diffential equations :

1690214147451.png

Can anyone help me to solve this analytically? Is there any general method to solve system of PDEs?
 
Physics news on Phys.org
Can you clarify your notation? E.g., does ##\theta_{1x},\psi_{1x}## mean ##\partial\theta_{1}/\partial x,\partial\psi_{1}/\partial x##?
 
nothing about boundary conditions
nothing about the domain
nothing about functional spaces
nothing to speak about

satu said:
Is there any general method to solve system of PDEs?
no general methods to solve everything
 
renormalize said:
Can you clarify your notation? E.g., does ##\theta_{1x},\psi_{1x}## mean ##\partial\theta_{1}/\partial x,\partial\psi_{1}/\partial x##?
Yup. You may consider ## \psi ## inplace of ##\psi_1## and ## \theta ## in place of ##\theta_{1}##
 
wrobel said:
nothing about boundary conditions
nothing about the domain
nothing about functional spaces
nothing to speak aboutno general methods to solve everything
B.C's : ## \psi_{1} = \theta_{1} = 0 ## at both ## y=0## and ##y=1##.
##\nabla^2 = \partial^2/\partial x^2 + \partial^2/\partial y^2 ##
Both ##\psi_{1} ## and ##\theta_{1}## are functions of x and y.
 
satu said:
B.C's : ## \psi_{1} = \theta_{1} = 0 ## at both ## y=0## and ##y=1##.
this does not make sense: your solutions are defined up to ##+c_1 +c_2y##
 
Last edited:
satu said:
TL;DR Summary: Methods to find solutions of system of PDEs

HI
HI! While trying to solve problem in Hydrodynamic stability I have got a system of Two Partial Diffential equations :

View attachment 329594
Can anyone help me to solve this analytically? Is there any general method to solve system of PDEs?

This is a linearised stability problem, so you are looking for normal modes. Your assumption, in view of the boundary conditions, is that [tex] (\theta, \psi) = (\Theta e^{k_nx}\sin( n\pi y), \Psi e^{k_nx}\sin (n \pi y))[/tex] for constant [itex](\Theta, \Psi)[/itex] and positive integer [itex]n[/itex]. If [itex]k_n[/itex] has strictly positive real part, then the disturbance will grow as [itex]x \to \infty[/itex]. If [itex]k_n[/itex] has strictly negative real part, the disturbance will instead grow as [itex]x \to -\infty[/itex].

Subsituting these into the PDEs will give you a linear system of the form [tex] M(k_n)\begin{pmatrix} \Theta \\ \Psi \end{pmatrix} = 0[/tex] for some matrix [itex]M(k_n)[/itex]. For this to have non-zero solutions, [itex]k[/itex] must satisfy [tex]\det M(k_n) = 0.[/tex] (This is a generlized eigenvalue problem with [itex](\Theta, \Psi)[/itex] being an eigenvector corresponding to the generalized eigenvalue [itex]k_n[/itex].)

The general solution, if desired, can then be obtained as a linear combination of normal modes, but for the linear stability analysis we only need the sign of the real part of [itex]k_n[/itex].
 
Last edited:
anyway
pasmith said:
linear stability analysis we only need the sign of the real part of [itex]k_n[/itex].
What definition of stability do you mean? As for me I heard about stability in evolution systems only. I do not see any evolution here and I do not see any uniqueness. I actually suspect that the boundary conditions still have not been formulated correctly but maybe x is such a new notation for time. Who knows.
 
wrobel said:
I actually suspect that the boundary conditions still have not been formulated correctly but maybe x is such a new notation for time. Who knows.
Indeed, it's unlikely that ##x## is supposed to be time since the OP states that ##\nabla^2 = \partial^2/\partial x^2 + \partial^2/\partial y^2##, which is the 2D Laplacian, not the 2D wave-operator.
 
  • #10
wrobel said:
anyway

What definition of stability do you mean? As for me I heard about stability in evolution systems only. I do not see any evolution here and I do not see any uniqueness. I actually suspect that the boundary conditions still have not been formulated correctly but maybe x is such a new notation for time. Who knows.

The OP did state "While trying to solve problem in Hydrodynamic stability ...". However, since the OP hasn't told us which problem they are trying to solve or how they derived this system, we can but speculate.

I did misinterpret the situation in my earlier post.

The system of PDEs looks like what one gets for marginal stability [itex](\partial_t = 0)[/itex] of small disturbances to the static solution of the equations for incompressible Rayleigh-Benard convection in two dimensions, with [itex]\psi[/itex] being the streamfunction and [itex]\theta[/itex] the departure of the (scaled) temperature from the static solution; [itex]R_0[/itex] is then the Rayleigh number.

The correct approach is to first set [itex](\theta, \psi) = (\Theta(y), \Psi(y))e^{ikx}[/itex] to obtain a system of ODEs for the dependence on [itex]y[/itex]; we are looking for the wavenumber [itex]k[/itex] at which the static solution first becomes unstable - hence the assumption of marginal stability.

We are missing some boundary conditions - we need either [itex]\psi_y = 0[/itex] (no-slip) or [itex]\psi_{yy} = 0[/itex] (stress-free) at each boundary.
 

Similar threads

  • · Replies 1 ·
Replies
1
Views
4K
  • · Replies 0 ·
Replies
0
Views
3K
  • · Replies 2 ·
Replies
2
Views
2K
  • · Replies 4 ·
Replies
4
Views
3K
  • · Replies 5 ·
Replies
5
Views
3K
Replies
5
Views
2K
  • · Replies 3 ·
Replies
3
Views
2K
  • · Replies 9 ·
Replies
9
Views
5K
  • · Replies 1 ·
Replies
1
Views
2K
  • · Replies 2 ·
Replies
2
Views
4K