Solving the Equation y'(x) = 1/(x^N+1)

  • Context: Undergrad 
  • Thread starter Thread starter Gregg
  • Start date Start date
Click For Summary

Discussion Overview

The discussion centers around solving the differential equation y'(x) = 1/(x^N + 1). Participants explore various methods of integration, including polynomial factorization, partial fraction decomposition, and the use of hypergeometric functions. The conversation includes both specific cases (such as N=4) and general approaches for different values of N.

Discussion Character

  • Technical explanation
  • Mathematical reasoning
  • Debate/contested

Main Points Raised

  • One participant suggests using the factorization of polynomials related to the nth roots of -1 to approach the integral.
  • Another participant provides specific roots for the case when N=4 and discusses how to factor the polynomial x^4 + 1 into complex-valued first-order polynomials.
  • There is mention of using partial fraction decomposition to simplify the integration process, leading to logarithmic and arctangent functions as potential results.
  • Some participants express curiosity about more general results regarding coefficients in fractional decomposition and whether a generalized theory exists.
  • Mathematica's output for the integral involving hypergeometric functions is presented, with one participant noting the complexity of this solution.
  • Several participants discuss the possibility of computing the integral without hypergeometric functions when N is an integer, proposing series expansions as an alternative method.
  • There is a back-and-forth regarding the derivation of coefficients in the context of the integral, with some participants seeking clarification on specific steps in the calculations.

Areas of Agreement / Disagreement

Participants generally agree on the methods of integration discussed, but there are competing views on the best approach, particularly regarding the use of hypergeometric functions versus simpler series expansions. The discussion remains unresolved on the generalization of results for arbitrary N.

Contextual Notes

Some participants note that the approaches discussed may depend on the specific values of N and that assumptions about the convergence of series or the applicability of certain functions may not be universally valid.

Gregg
Messages
452
Reaction score
0
How would I solve [tex]y'(x) = \frac{1}{x^N+1}[/tex] ?
 
Physics news on Phys.org


Note that the polynomials [tex]x^{n}+1[/tex] can be factorized in terms of the nth-roots of (-1), i.e, as:
[tex]x_{j,n}=e^{i\pi\frac{1+2{j}}{n}}, i=\sqrt{(-1)}, j=0,...n-1[/tex]

You can then factorize your polynomial denominator, use fractional decomposition, and perform termwise integration.
Be particularly aware of the pitfalls involved in complex logarithms.
 
Last edited:


Let us take the case with n=4.
Then, the roots are:
[tex]x_{0,4}=e^{i\frac{\pi}{4}}=\frac{1}{\sqrt{2}}(1+i)[/tex]
[tex]x_{1,4}=e^{i\frac{3\pi}{4}}=\frac{1}{\sqrt{2}}(-1+i)[/tex]
[tex]x_{2,4}=e^{i\frac{5\pi}{4}}=\frac{1}{\sqrt{2}}(-1-i)[/tex]
[tex]x_{3,4}=e^{i\frac{7\pi}{4}}=\frac{1}{\sqrt{2}}(1-i)[/tex]

We may factorize x^4+1 into 4 complex-valued first-order polynomials:
[tex]\frac{1}{x^{4}+1}=\frac{1}{(x-\frac{1}{\sqrt{2}}(1+i))(x-\frac{1}{\sqrt{2}}(1-i))(x-\frac{1}{\sqrt{2}}(-1+i))(x-\frac{1}{\sqrt{2}}(-1-i))}[/tex]

If you wish to work with real valued polynomials, multiply together the complex conjugates, and get:
[tex]\frac{1}{x^{4}+1}=\frac{1}{(x^{2}-\sqrt{2}x+1)(x^{2}+\sqrt{2}x+1)}[/tex]

A partial fractions decompositions would then proceed as follows:
[tex]\frac{1}{x^{4}+1}=\frac{Ax+B}{(x^{2}-\sqrt{2}x+1)}+\frac{Cx+D}{(x^{2}+\sqrt{2}x+1)}[/tex]

You may then determine what A,B, C and D must be by multplying the whole equation with x^4+1, getting, by rearrangement:
[tex]0=(A+C)x^{3}+(\sqrt{2}{A}-\sqrt{2}C+B+D)x^{2}+(A+C+B-D)x+(B+D-1)[/tex]
The coefficients to each power of x must be 0, yielding:

[tex]B=D=1/2, C=-A=\frac{1}{2\sqrt{2}}[/tex]

In general, your anti-derivatives will be sums of logaritms and arctan-functions.
 
Last edited:


I see that when [itex]N[/itex] is chosen and fixed, the task can be completed with finite amount of effort. But is there more general results? Is there theory about these coefficients that you encounter in fractional decomposition?
 


jostpuur said:
I see that when [itex]N[/itex] is chosen and fixed, the task can be completed with finite amount of effort. But is there more general results? Is there theory about these coefficients that you encounter in fractional decomposition?
Probably.

I don't know of it, though I'm sure a generalized result, in terms, perhaps, of a complex finite sum as a function of N has been made by somebody
 


I could see the cases N=2,3 etc. but Mathematica gives


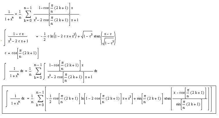
[tex]\int \frac{dx}{x^N+1} = x\left({}_2 F_1 \left(\frac{1}{N},1,1+\frac{1}{N},-x^N\right)\right)[/tex]

[tex]\text{Hypergeometric2F1}(a,b,c,z) = \, _2F_1(a,b;c;z)[/tex]
 


And that is the closed-form solution, with a truly nasty function called Hypergeometric2F1 in its expression..
 


[tex]\, _2F_1(a,b;c;z) = 1+\frac{a b}{1!c}z + \frac{a(a+1)b(b+1)}{2!c(c+1)}z^2 +\cdots[/tex]

So I think it looks something like this

[tex]\, _2F_1(a,b;c;z) =\displaystyle 1+\sum _{k=0}^{\infty } \frac{\prod _{j=0}^{(k)} \frac{(a+j)(b+j)}{(c+j)}}{(k+1)!}z^k[/tex]


[tex]\int \frac{1}{x^N+1} \, dx = x\left(\displaystyle 1+\sum _{k=0}^{\infty } \frac{\prod _{j=0}^k \frac{(\frac{1}{N}+j)(1+j)}{(1+\frac{1}{N}+j)}}{(k+1)!}(-x^N)^{(k+1)}\right)[/tex]
 
Last edited:
  • #10


Actually, this integral can be computer if N is integer, without using hypergeometric function.

[tex]\int \frac{dx}{x^N+ a}=\sum _{k=0}^{N-1} b_k\ln \left(x-(-a)^{\frac{1}{N}}e^{\frac{2k \pi }{N}i}\right)[/tex]

and

[tex]b_n=\frac{1}{(-a)^{\frac{N-1}{N}}\prod _{\underset{j\neq k}{j=0}}^{N-1} \left(e^{\frac{2n \pi }{N}i}-e^{\frac{2j \pi }{N}i}\right)}[/tex]

Please refer to this http://www.voofie.com/content/82/how-to-find-the-integral-of-1xna/" for step by step details.
 
Last edited by a moderator:
  • #11


ross_tang said:
Actually, this integral can be computer if N is integer, without using hypergeometric function.

[tex]\int \frac{dx}{x^N+ a}=\sum _{k=0}^{N-1} b_k\ln \left(x-(-a)^{\frac{1}{N}}e^{\frac{2k \pi }{N}i}\right)[/tex]

and

[tex]b_n=\frac{1}{(-a)^{\frac{N-1}{N}}\prod _{\underset{j\neq k}{j=0}}^{N-1} \left(e^{\frac{2n \pi }{N}i}-e^{\frac{2j \pi }{N}i}\right)}[/tex]

Please refer to this http://www.voofie.com/content/82/how-to-find-the-integral-of-1xna/" for step by step details.

Thank you, ross tang.
I mentioned, in post 2, that by using factorization by means of first order complex polynomials, you'd get a sum of complex logarithms as your answer.

It is nice to see the closed form solution in this case as well.
 
Last edited by a moderator:
  • #12


If N is an integer isn't this even simpler?

[tex]y=\int \frac{1}{x^N+1} dx[/tex]


[tex]y=\int (1-x^N+x^{2N}-x^{3N}+O(x^{4N})) dx[/tex]


[tex]y=x-\frac{x^{N+1}}{N+1}+\frac{x^{2N+1}}{2N+1}-\frac{x^{3N+1}}{3N+1}+O(x^{4N+1})[/tex]

[tex]y=\displaystyle \sum_{k=0}^{\infty} \frac{x^{kN+1}}{kN+1}[/tex]
 
  • #13


Gregg said:
If N is an integer isn't this even simpler?

[tex]y=\int \frac{1}{x^N+1} dx[/tex]


[tex]y=\int (1-x^N+x^{2N}-x^{3N}+O(x^{4N})) dx[/tex]


[tex]y=x-\frac{x^{N+1}}{N+1}+\frac{x^{2N+1}}{2N+1}-\frac{x^{3N+1}}{3N+1}+O(x^{4N+1})[/tex]

[tex]y=\displaystyle \sum_{k=0}^{\infty} \frac{x^{kN+1}}{kN+1}[/tex]

Is an infinite series simpler??

Furthermore, the anti-derivative you make there implies that |x|<1
 
  • #14


ross_tang said:
Actually, this integral can be computer if N is integer, without using hypergeometric function.

[tex]\int \frac{dx}{x^N+ a}=\sum _{k=0}^{N-1} b_k\ln \left(x-(-a)^{\frac{1}{N}}e^{\frac{2k \pi }{N}i}\right)[/tex]

and

[tex]b_n=\frac{1}{(-a)^{\frac{N-1}{N}}\prod _{\underset{j\neq k}{j=0}}^{N-1} \left(e^{\frac{2n \pi }{N}i}-e^{\frac{2j \pi }{N}i}\right)}[/tex]

Please refer to this http://www.voofie.com/content/82/how-to-find-the-integral-of-1xna/" for step by step details.

How do you go from

[tex]\sum _{k=0}^{N-1} b_k\prod _{j=0j\neq k}^{N-1} \left(A^{\frac{1}{N}}e^{\frac{i}{N}(\theta +2n \pi )}-A^{\frac{1}{N}}e^{\frac{i}{N}(\theta +2j \pi )}\right)=1[/tex]

to

[tex]b_n=\frac{1}{(-a)^{\frac{N-1}{N}}\prod _{j=0j\neq k}^{N-1} \left(e^{\frac{i}{N}(\theta +2n \pi )}-e^{\frac{i}{N}(\theta +2j \pi )}\right)}[/tex]
 
Last edited by a moderator:
  • #15


Ah you actually go from

[tex]\sum _{k=0}^{N-1} b_k\prod _{j=0j\neq k}^{N-1} \left(A^{\frac{1}{N}}e^{\frac{i}{N}(\theta +2n \pi )}-A^{\frac{1}{N}}e^{\frac{i}{N}(\theta +2j \pi )}\right)=1[/tex]


[tex]\Rightarrow b_n=\frac{1}{(-a)^{\frac{N-1}{N}}\prod _{j=0j\neq k}^{N-1} \left(e^{\frac{i}{N}(2n \pi )}-e^{\frac{i}{N}(2j \pi )}\right)}[/tex]


I can see

[tex]\sum _{k=0}^{N-1} b_k=\frac{1}{(-a)^{\frac{1}{N}}\prod _{j=0j\neq k}^{N-1} \left(e^{\frac{i}{N}(2n \pi )}-e^{\frac{i}{N}(2j \pi )}\right)}[/tex]


But I can't see how you get bn
 
Last edited:
  • #16


@Gregg,

Have you try putting [tex]x = \sqrt[N]{A}e^{\frac{\theta +2n \pi }{N}i}[/tex]?

If you do that, you can see for every other term in the sum, i.e. when [tex]k \neq n[/tex]

[tex]b_k\prod _{\underset{j\neq k}{j=0}}^{N-1} \left(\sqrt[N]{A}e^{\frac{\theta +2n \pi }{N}i}-\sqrt[N]{A}e^{\frac{\theta +2j \pi }{N}i}\right) = 0[/tex]

Since there is a factor of

[tex]\sqrt[N]{A}e^{\frac{\theta +2n \pi }{N}i}-\sqrt[N]{A}e^{\frac{\theta +2n\pi }{N}i}[/tex]

when j = n.

Only when k = n, the term j = n is gone, since the sum excluded the factor.
 
  • #17


Can you write it as this?

[tex]\sum _{k=0}^{N-1} b_k=\frac{A^{\frac{1}{N}}e^{\frac{i}{N}(\theta +2n \pi )}-A^{\frac{1}{N}}e^{\frac{i}{N}(\theta +2k \pi )}}{\prod _{j=0}^{N-1} \left(A^{\frac{1}{N}}e^{\frac{i}{N}(\theta +2n \pi )}-A^{\frac{1}{N}}e^{\frac{i}{N}(\theta +2j \pi )}\right)}[/tex]

So every time that [tex]k \ne n[/tex] it is possible for [tex]j=n[/tex] and therefore a factor of zero in the product. With [tex]k=n[/tex] since [tex]j \ne k = n[/tex] there is no zero factor.

[tex]b_n=\frac{1}{\prod _{j=0k\neq j}^{N-1} \left(A^{\frac{1}{N}}e^{\frac{i}{N}(\theta +2n \pi )}-A^{\frac{1}{N}}e^{\frac{i}{N}(\theta +2j \pi )}\right)}[/tex]


Then i get

[tex]b_n=\frac{1}{ A^{\frac{1}{N}}e^{i \frac{\theta }{N}}\prod _{j=0k\neq j}^{N-1} \left(e^{\frac{(2n i \pi )}{N}}-e^{\frac{(2j i \pi )}{N}}\right)}[/tex]

[tex]b_n=\frac{1}{(-a)^{\frac{1}{N}}\prod _{j=0k\neq j}^{N-1} \left(e^{\frac{(2n i \pi )}{N}}-e^{\frac{(2j i \pi )}{N}}\right)}[/tex]

which is different so what have I missed?
 
Last edited:
  • #18


I am sorry. I think my notation confused you.

I wrote this as the equation:

[tex]\sum _{k=0}^{N-1} b_k\prod _{j=0j\neq k}^{N-1} \left(A^{\frac{1}{N}}e^{\frac{i}{N}(\theta +2n \pi )}-A^{\frac{1}{N}}e^{\frac{i}{N}(\theta +2j \pi )}\right)=1[/tex]

But in fact, i really means this:

[tex]\sum _{k=0}^{N-1} \left( b_k\prod _{j=0j\neq k}^{N-1} \left(A^{\frac{1}{N}}e^{\frac{i}{N}(\theta +2n \pi )}-A^{\frac{1}{N}}e^{\frac{i}{N}(\theta +2j \pi )}\right)\right)=1[/tex]
 
  • #19


I understand that

where do you get [tex](-a)^{{N-1}\over{N}}[/tex] from?
 
  • #20


I am sorry. I have little bit of typo in the answer.
It should be like this:
[tex] \Rightarrow b_k=\frac{1}{(-a)^{\frac{N-1}{N}}\prod _{\underset{j\neq k}{j=0}}^{N-1} \left(e^{\frac{2k \pi }{N}i}-e^{\frac{2j \pi }{N}i}\right)}[/tex]
You don't understand why there is a factor of [tex](-a)^{\frac{N-1}{N}}[/tex]. Actually it is just property of the product notation.

The step you missed is this one:
[tex] \prod _{\underset{j\neq k}{j=0}}^{N-1} \left(\sqrt[N]{A}e^{\frac{\theta }{N}i}\left(e^{\frac{2 n \pi }{N}i}-e^{\frac{2j \pi }{N}i}\right)\right)[/tex]
[tex] \Rightarrow \left(\sqrt[N]{A}e^{\frac{\theta }{N}i}\right)^{N-1}\prod _{\underset{j\neq k}{j=0}}^{N-1} \left(e^{\frac{2 n \pi }{N}i}-e^{\frac{2j \pi }{N}i}\right)[/tex]
When you take out a factor in the product sign, you are not just taking 1 factor out. Since in the product, there are N-1 factors, so you are take N-1 factors out instead. Hope you can understand.
 
  • #21


ross_tang said:
I am sorry. I have little bit of typo in the answer.
It should be like this:
[tex] \Rightarrow b_k=\frac{1}{(-a)^{\frac{N-1}{N}}\prod _{\underset{j\neq k}{j=0}}^{N-1} \left(e^{\frac{2k \pi }{N}i}-e^{\frac{2j \pi }{N}i}\right)}[/tex]
You don't understand why there is a factor of [tex](-a)^{\frac{N-1}{N}}[/tex]. Actually it is just property of the product notation.

The step you missed is this one:
[tex] \prod _{\underset{j\neq k}{j=0}}^{N-1} \left(\sqrt[N]{A}e^{\frac{\theta }{N}i}\left(e^{\frac{2 n \pi }{N}i}-e^{\frac{2j \pi }{N}i}\right)\right)[/tex]
[tex] \Rightarrow \left(\sqrt[N]{A}e^{\frac{\theta }{N}i}\right)^{N-1}\prod _{\underset{j\neq k}{j=0}}^{N-1} \left(e^{\frac{2 n \pi }{N}i}-e^{\frac{2j \pi }{N}i}\right)[/tex]
When you take out a factor in the product sign, you are not just taking 1 factor out. Since in the product, there are N-1 factors, so you are take N-1 factors out instead. Hope you can understand.

Ahh that is much clearer now! I didn't think about that product
 
  • #22


Hello !

in order to find a primitive of 1/((x^N)+1), let t=x^N and z = y/x
where z(x) is the new function to find.
This leads to z as an Euler's hypergeometric integral with variable t.
Finally, back to y and x, we obtain the solution :
y = x*F(a,b;c;X) + constant
where F is the Gauss hypergeometric function (usually noted 2F1 in the hypergeometric functions classification)
a = 1
b = 1/N
c =1+(1/N)
X = -x^N

Using the general series definition of the hypergeometric function, it is easy to express y(x) in terms of a rather simple infinite series.
 
  • #23


JJacquelin said:
Hello !

in order to find a primitive of 1/((x^N)+1), let t=x^N and z = y/x
where z(x) is the new function to find.
This leads to z as an Euler's hypergeometric integral with variable t.
Finally, back to y and x, we obtain the solution :
y = x*F(a,b;c;X) + constant
where F is the Gauss hypergeometric function (usually noted 2F1 in the hypergeometric functions classification)
a = 1
b = 1/N
c =1+(1/N)
X = -x^N

Using the general series definition of the hypergeometric function, it is easy to express y(x) in terms of a rather simple infinite series.

I suggest you read post 9 by Gregg.
 
  • #24


JJacquelin said:
Hello !

in order to find a primitive of 1/((x^N)+1), let t=x^N and z = y/x
where z(x) is the new function to find.
This leads to z as an Euler's hypergeometric integral with variable t.
Finally, back to y and x, we obtain the solution :
y = x*F(a,b;c;X) + constant
where F is the Gauss hypergeometric function (usually noted 2F1 in the hypergeometric functions classification)
a = 1
b = 1/N
c =1+(1/N)
X = -x^N

Using the general series definition of the hypergeometric function, it is easy to express y(x) in terms of a rather simple infinite series.

Earlier on in the thread we found the same 2F1 solution as you did an infinite series representation aswell. A point was made about a finite series being more desireable though.
 
  • #25


I would approach it entirely from the perspective of complex analysis:

[tex] \begin{aligned}<br /> \int_C \frac{dz}{z^N-1}&=\sum_{j=0}^{N-1}\int_C \frac{a_j}{z-z_j}dz\\<br /> &=\sum_{j=0}^{N-1} a_j\log(z-z_j)\biggr|_{c_a}^{c_b} \\<br /> &=\sum_{j=0}^{N-1} a_j\big(\log(c_b-z_j)-\log(c_a-z_j)\big)\\<br /> \end{aligned}[/tex]

and then ask how must the multi-valued antiderivative be interpreted so that only the end-points of the contour [itex](c_a, c_b)[/itex], can be used in the expression above for all reasonable contours even ones which loop around multiple times. :)

Also, if it were mine, I'd check it with something real:

[tex]y'=\frac{1}{x^4+1},\quad y(0)=y_0[/tex]

Now, how does the numeric solution to that compare with all those multi-valued logarithms or hypergeometric expressions? For me, that comparison is a crucial part of doing mathematics.
 
Last edited:
  • #26


Is [tex]a_j = \frac{z_j}{N}[/tex] ?

Is it supposed to be obvious?
 
  • #27


Gregg said:
Is [tex]a_j = \frac{z_j}{N}[/tex] ?

Is it supposed to be obvious?

No. It's not that. My [itex]a_j[/itex] is just the coefficients of the partial fraction decomposition. Ross in post 10 showed a compact way of computing these coefficients which he called [itex]b_n[/itex] which looks like he's using the Residue Theorem to compute: the coefficients are just the residues for each zero (pole). And my [itex]z_j[/itex] are the roots of [itex]x^N+1[/itex]. Sorry I didn't make that more clear above.
 
  • #28


jackmell said:
No. It's not that. My [itex]a_j[/itex] is just the coefficients of the partial fraction decomposition. Ross in post 10 showed a compact way of computing these coefficients which he called [itex]b_n[/itex] which looks like he's using the Residue Theorem to compute: the coefficients are just the residues for each zero (pole). And my [itex]z_j[/itex] are the roots of [itex]x^N+1[/itex]. Sorry I didn't make that more clear above.

Oh right I just thought that it was since

[tex]\frac{1}{3 (z-1)}-\frac{(-1)^{1/3}}{3 \left(z+(-1)^{1/3}\right)}+\frac{(-1)^{2/3}}{3 \left(z-(-1)^{2/3}\right)} = \frac{1}{z^3-1}[/tex]

and

[tex]-\frac{1}{4(z+1)}+\frac{1}{4(z-1)}-\frac{i}{4(z+i)}+\frac{i}{4(z-i)}=\frac{1}{z^4-1}[/tex]
 
  • #29


Hello !

I suggest you read post 9 by Gregg.

All right, but of course don't directly develop in series the general hypergeometric F(a,b;c,X) function.
First, simplify it, since parameters are particular (a=1, c=1+b). It reduces into particular hypergeometric functions of lower level : Beta incomplete (in the complex range) or Lerch function.
The series development of the Lerch function directly leads to very simple series.
(i.e. : joint page)
Of course, everybody is aware that these series can be obtained on a very simple way by developing in series 1/(1+x^N) or (x^-N)/(1+x^-N) before integration.
A point was made about a finite series being more desireable though.
May be apparently !
But if the finite series contains functions like log, or polylog, or etc., each of these functions is an infinite series, so, the computation would be a finite sum of infinite series. Why only one special function like hypergeometric (or better, the Lerch function in the present case) be less desirable ?
Well, this is my viewpoint. But I understand that many people prefer using more common functions than only one special function.
 

Attachments

  • Ingegral and series.JPG
    Ingegral and series.JPG
    20.8 KB · Views: 448
  • #30


Gregg said:
Oh right I just thought that it was since

[tex]\frac{1}{3 (z-1)}-\frac{(-1)^{1/3}}{3 \left(z+(-1)^{1/3}\right)}+\frac{(-1)^{2/3}}{3 \left(z-(-1)^{2/3}\right)} = \frac{1}{z^3-1}[/tex]

and

[tex]-\frac{1}{4(z+1)}+\frac{1}{4(z-1)}-\frac{i}{4(z+i)}+\frac{i}{4(z-i)}=\frac{1}{z^4-1}[/tex]

Ok then. That's interesting. I didn't know that. Perhaps it is as you indicated. Is that true for the general case? If so, sorry if I said it wasn't.
 

Similar threads

  • · Replies 1 ·
Replies
1
Views
963
  • · Replies 2 ·
Replies
2
Views
6K
  • · Replies 5 ·
Replies
5
Views
2K
  • · Replies 11 ·
Replies
11
Views
4K
  • · Replies 2 ·
Replies
2
Views
4K
  • · Replies 2 ·
Replies
2
Views
2K
  • · Replies 0 ·
Replies
0
Views
4K
  • · Replies 1 ·
Replies
1
Views
4K
  • · Replies 1 ·
Replies
1
Views
2K
  • · Replies 65 ·
3
Replies
65
Views
9K