Spivak - Proof of f(x) = c on [a, b]

  • Context: Undergrad 
  • Thread starter Thread starter Simpl0S
  • Start date Start date
  • Tags Tags
    Proof Spivak
Click For Summary

Discussion Overview

The discussion revolves around the proof of a theorem from Spivak's Calculus, specifically regarding the function f(x) being equal to a constant c on the interval [a, b]. Participants explore the reasoning behind the proof, the choice of defining a new function g = f - c, and the implications of setting c to specific values in the proof process.

Discussion Character

  • Technical explanation
  • Conceptual clarification
  • Debate/contested

Main Points Raised

  • One participant attempts to prove the theorem by setting c = 0, questioning whether this approach is valid.
  • Another participant argues that setting c = 0 is incorrect because the theorem must hold for arbitrary values of c.
  • A participant explains that defining g = f - c allows for the treatment of c as a constant that can be adjusted, thus simplifying the proof.
  • Some participants suggest that visualizing the function can help understand why the transformation to g = f - c is intuitive.
  • Another participant notes that mathematical techniques often become clearer with experience and practice.
  • A participant emphasizes that the transformation is a common technique in proofs, allowing the application of established theorems to new functions.

Areas of Agreement / Disagreement

Participants express differing views on the validity of setting c = 0 in the proof. While some clarify the reasoning behind the transformation to g = f - c, there is no consensus on the initial approach taken by the first participant.

Contextual Notes

The discussion highlights the importance of understanding the conditions under which mathematical theorems apply, particularly regarding the treatment of constants in proofs. There is an acknowledgment of the subtleties involved in applying established results to new contexts.

Simpl0S
Messages
14
Reaction score
0
In Spivak's Calculus, on page 121 there is this theorem

1.png


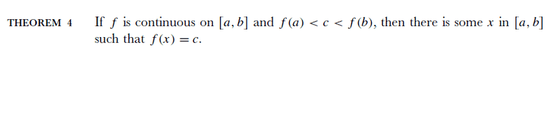
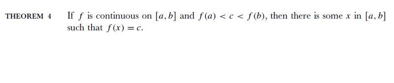
Then he generalizes that theorem:
3.png


I tried proving theorem 4 on my own, before looking at Spivak's proof. Thus I let c = 0 and then by theorem 1, my proof would be completed. Is this a correct proof?

Spivak's proof for theorem 4:

4.png


And also can someone explain to me the choice of why Spivak has chosen the equation g = f - c. I understand his proof but the choice would have never occurred to me intuitively.
 
Physics news on Phys.org
Simpl0S said:
In Spivak's Calculus, on page 121 there is this theorem

View attachment 105918

Then he generalizes that theorem:
View attachment 105920

I tried proving theorem 4 on my own, before looking at Spivak's proof. Thus I let c = 0 and then by theorem 1, my proof would be completed. Is this a correct proof?

Spivak's proof for theorem 4:

View attachment 105921

And also can someone explain to me the choice of why Spivak has chosen the equation g = f - c. I understand his proof but the choice would have never occurred to me intuitively.
Your mistake has been, that you are not allowed to set ##c=0## because it has to be proven for arbitrary ##c##.
So setting ##g=f-c## makes so to say the arbitrary ##c## for ##f## a ##c=0## for ##g##. What is implicitly used here is the fact, that the sum or (difference) of two continuous functions - here ##f## and ##c \cdot identity## - is continuous again. The arbitrariness of ##c## goes entirely into the arbitrariness of ##g##.
 
  • Like
Likes   Reactions: Simpl0S
Simpl0S said:
And also can someone explain to me the choice of why Spivak has chosen the equation g = f - c. I understand his proof but the choice would have never occurred to me intuitively.

I'm not sure why you say you would never have thought of it.

If you'd drawn a diagram for a function with ##c =2##, say, then you could make it into a function satisfying ##c=0## simply by moving it vertically.

Isn't that rather obvious? Especially now you've seen it.
 
  • Like
Likes   Reactions: Simpl0S
Simpl0S said:
And also can someone explain to me the choice of why Spivak has chosen the equation g = f - c. I understand his proof but the choice would have never occurred to me intuitively.

There are a lot of "tricks" and techniques that you will pick up along the way during your math studies. Some things that don't seem obvious at first will become more obvious later down the road and you'll be able to apply these tricks and techniques yourself.
 
The trick is quite usual, in the proof you translated the function ##f## subtracting ##c## defining a new function ##g## that satisfy conditions of theorem 1. So you are in the condition of a well understood case and you can conclude that exists a point ##x\in [a,b]## such that ##g(x)=0## that is ##f(x)=c##.
 
  • Like
Likes   Reactions: Simpl0S

Similar threads

  • · Replies 11 ·
Replies
11
Views
3K
  • · Replies 9 ·
Replies
9
Views
3K
  • · Replies 1 ·
Replies
1
Views
3K
  • · Replies 4 ·
Replies
4
Views
3K
  • · Replies 9 ·
Replies
9
Views
6K
  • · Replies 7 ·
Replies
7
Views
2K
  • · Replies 3 ·
Replies
3
Views
4K
  • · Replies 9 ·
Replies
9
Views
3K
  • · Replies 5 ·
Replies
5
Views
3K
  • · Replies 4 ·
Replies
4
Views
2K