Why prove Taylor's theorem with p(x)=q(x)−((b−a)^n/(b−x)^n)q(a)?

  • Context: Undergrad 
  • Thread starter Thread starter PLAGUE
  • Start date Start date
  • Tags Tags
    Calculas Taylor series
Click For Summary

Discussion Overview

The discussion centers on the derivation and understanding of Taylor's theorem, specifically examining the formula p(x)=q(x)−((b−a)^n/(b−x)^n)q(a) and its relation to the mean value theorem. Participants explore the mathematical foundations and implications of this formulation, with a focus on its proof and comparison to other approaches.

Discussion Character

  • Technical explanation
  • Debate/contested
  • Mathematical reasoning

Main Points Raised

  • One participant presents a proof of the mean value theorem and then attempts to connect it to the proof of Taylor's theorem using the function p(x).
  • Another participant requests clarification on the notation and suggests using LaTeX for better readability, while also offering an alternative derivation of Taylor's theorem.
  • Several participants express confusion regarding the formula p(x) and its components, particularly the role of the denominator involving (b−x).
  • A participant describes the proof process involving Taylor series and correction terms, noting that it may not be very insightful and suggesting a need for clearer explanations.
  • There are repeated inquiries about the correctness of the formula and its representation in different contexts, with some participants confirming or questioning the expressions used.

Areas of Agreement / Disagreement

Participants express varying levels of understanding regarding the formula p(x) and its derivation. There is no consensus on the clarity of the proof or the best approach to explaining it, indicating ongoing debate and uncertainty.

Contextual Notes

Some participants highlight the need for clearer notation and presentation of mathematical expressions, indicating that the current format may hinder understanding. There are also mentions of alternative methods for deriving Taylor's theorem that have not been fully explored in the discussion.

PLAGUE
Messages
43
Reaction score
2
TL;DR
I am using a book where they prove Taylor's theorem with p(x)=q(x)−((b−a)^n/(b−x)^n)q(a). I have included a proof of mean value theorem where they shows how they get h(x) = f(x) – f(a) – {(f(b)-f(a))/(b-a)} (x - a). Is there any similar way to show how they come up with the p(x)?
Here is a proof of mean value theorem:

Consider a line passing through the points (a, f(a)) and (b, f(b)). The equation of the line is

y-f(a) = {(f(b)-f(a))/(b-a)} (x-a)

or y = f(a)+ {(f(b)-f(a))/(b-a)} (x-a)

Let h be a function that defines the difference between any function f and the above line.

h(x) = f(x) – f(a) – {(f(b)-f(a))/(b-a)} (x-a)

Using “Rolle’s theorem”, we have

h'(x) = f'(x) – {(f(b)-f(a))/(b-a)}

Or f(b) - f(a) = f'(x) (b - a). Hence, proved.

The source of this proof is here.
It is clear why and how they used h(x) = f(x) – f(a) – {(f(b)-f(a))/(b-a)} (x-a).

Now here is a proof of Taylor's theorem:
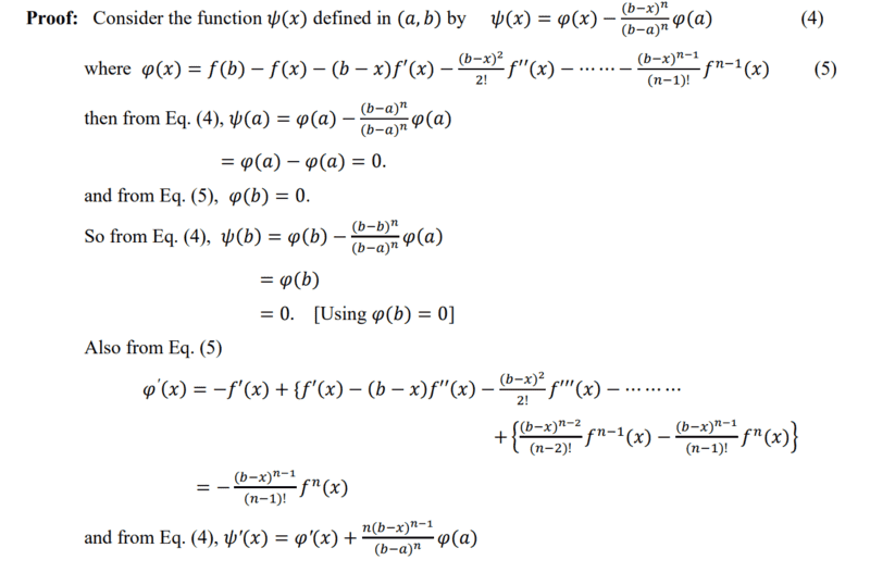
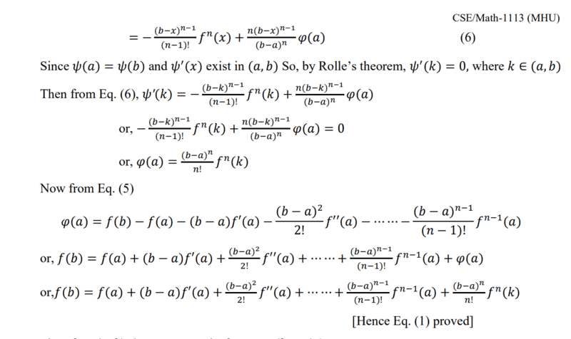
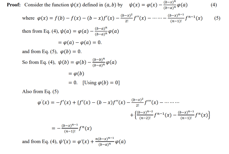
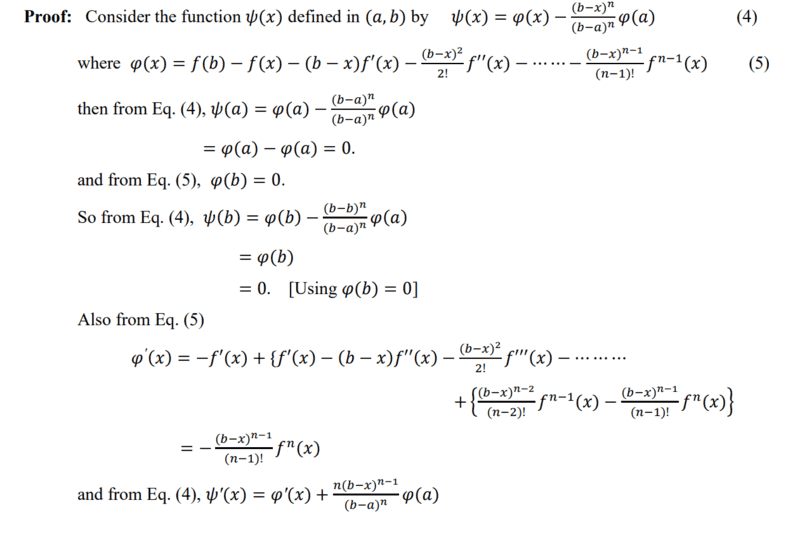
Consider the function $p(x)$ defined in (a, b) by p(x)=q(x)−((b−a)^n/(b−x)^n)q(a) where q(x) = f(b) - f(x) - (b - x)f'(x) - {(b-x)/2!}f''(x) -... {(b-x)^{n-1}/(n-1)!}) f^{n-1}(x)

Then they show that, p(a)=p(b)=0 and apply roll's theorem and proves Taylor's theorem. I understand this part.

I don't understand why they use, p(x)=q(x)−((b−a)^n/(b−x)^n)q(a). When proving mean value theorem, they first derived h(x) = f(x) – f(a) – {(f(b)-f(a))/(b-a)} (x-a) and then applied rolls theorem. My question is what is the derivation of p(x)=q(x)−((b−a)^n/(b−x)^n)q(a). p(x)=q(x)−((b−a)^n/(b−x)^n)q(a) and h(x) = f(x) – f(a) – {(f(b)-f(a))/(b-a)} (x-a) seems similar to me. Can we derive p(x) the same way as they did for h(x)?
 
Physics news on Phys.org
This is very hard to read. Could you write the formulas with LaTeX, see how here ...
https://www.physicsforums.com/help/latexhelp/
Just spend a lot of ## and \dfrac{}{}. And it is Rolle's theorem. It has nothing to do with rolls.I have a derivation of Taylor by the mean value theorem of integration and integration by parts, would this help?
 
Last edited:
PLAGUE said:
TL;DR Summary: I am using a book where they prove Taylor's theorem with p(x)=q(x)−((b−a)^n/(b−x)^n)q(a).
I am not familiar with the formula you quote
[tex]p(x)=q(x)−\frac{(b−a)^n}{(b−x)^n}q(a)[/tex]
where x is included in denominator. p(a)=0. p(b) diverges.
Is the above LaTex formula same as your textbook ?
 
Last edited:
anuttarasammyak said:
I am not familiar with the formula you quote
[tex]p(x)=q(x)−\frac{(b−a)^n}{(b−x)^n}q(a)[/tex]
where x is included in divider. p(a)=0. p(b) diverges.
Is the above LaTex formula same as your textbook ?
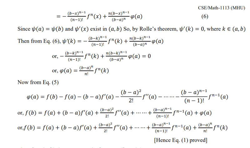
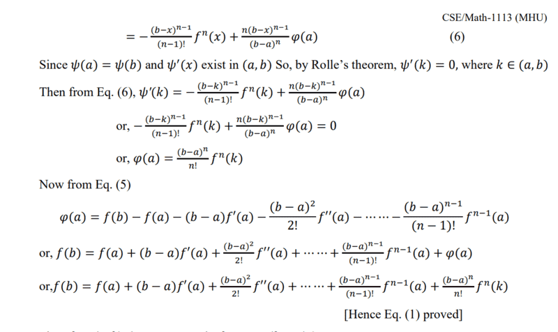
Here is the proof:
 

Attachments

  • Screenshot 2023-11-18 181659.png
    Screenshot 2023-11-18 181659.png
    26.4 KB · Views: 111
  • Screenshot 2023-11-18 181724.png
    Screenshot 2023-11-18 181724.png
    30.3 KB · Views: 121
fresh_42 said:
This is very hard to read. Could you write the formulas with LaTeX, see how here ...
https://www.physicsforums.com/help/latexhelp/
Just spend a lot of ## and \dfrac{}{}. And it is Rolle's theorem. It has nothing to do with rolls.I have a deviation of Taylor by the mean value theorem of integration and integration by parts, would this help?
 

Attachments

  • Screenshot 2023-11-18 181659.png
    Screenshot 2023-11-18 181659.png
    26.4 KB · Views: 133
  • Screenshot 2023-11-18 181724.png
    Screenshot 2023-11-18 181724.png
    30.3 KB · Views: 144
Can you tell us the location where you have the problem, in the same terms as in the pictures?

The proof basically goes like this:
  • the partial sum (plus correction terms) of the Taylor series at ##x=a## minus the partial sum (plus correction terms) of the Taylor series at ##x=b##,
  • where the correction terms make the expression zero at both ends of the interval ##[a,b]##
  • such that the theorem of Rolle can be applied to find ##\psi'(k)=0##
  • so that with some elementary algebra we get the Taylor series of ##f(x)## developed at the point ##x=a.##
I admit that this approach isn't very insightful. One would need to find a good compromise between what I have just written and what the textbook says plus all lines between the equations (1) - (4).

A different approach that uses integration instead of differentiation and the mean value theorem of integration instead of Rolle can be found here:
https://www.physicsforums.com/insights/series-in-mathematics-from-zeno-to-quantum-theory/#Functions
 
PLAGUE said:
Here is the proof:
Upside down
[tex]p(x)=q(x)−\frac{(b−x)^n}{(b−a)^n}q(a)[/tex]? Then p(a)=p(b)=0.
 
Last edited:
anuttarasammyak said:
Upside down
[tex]p(x)=q(x)−\frac{(b−x)^n}{(b−a)^n}q(a)[/tex]? Then p(a)=p(b)=0.
 

Attachments

  • Screenshot 2023-11-18 181659.png
    Screenshot 2023-11-18 181659.png
    26.4 KB · Views: 123
  • Screenshot 2023-11-18 181724.png
    Screenshot 2023-11-18 181724.png
    30.3 KB · Views: 133
1700371273198.png

Is this the part you quote ? It coincides with #7 where x is in numerator.
 
  • #10
yes it is
 

Similar threads

  • · Replies 6 ·
Replies
6
Views
3K
  • · Replies 5 ·
Replies
5
Views
3K
  • · Replies 4 ·
Replies
4
Views
2K
  • · Replies 1 ·
Replies
1
Views
3K
  • · Replies 3 ·
Replies
3
Views
3K
  • · Replies 9 ·
Replies
9
Views
3K
  • · Replies 6 ·
Replies
6
Views
4K
  • · Replies 5 ·
Replies
5
Views
3K
  • · Replies 11 ·
Replies
11
Views
3K
  • · Replies 6 ·
Replies
6
Views
3K