Strain Energy Functions and Springs

Click For Summary
SUMMARY

The discussion centers on the relationship between strain energy functions and springs, specifically addressing the potential energy of a spring and its derivative in relation to displacement. It highlights the importance of understanding the negative sign in the context of force derivation from potential energy, as well as the transition from springs to one-dimensional bars under tensile stress. The reference to Fung's "Solid Mechanics" emphasizes the theoretical foundation behind these concepts, particularly in the context of stress and strain relationships.

PREREQUISITES
  • Understanding of strain energy functions in elasticity
  • Familiarity with potential energy concepts in mechanics
  • Knowledge of derivatives and their application in force calculations
  • Basic principles of tensile stress in materials
NEXT STEPS
  • Study the derivation of force from potential energy in springs
  • Explore Fung's "Solid Mechanics" for detailed insights on strain energy
  • Investigate the relationship between stress and strain in one-dimensional bars
  • Learn about the mathematical modeling of elasticity and its constants
USEFUL FOR

Mechanical engineers, materials scientists, and students studying elasticity and mechanics of materials will benefit from this discussion, particularly those looking to deepen their understanding of strain energy functions and their applications in real-world scenarios.

Trying2Learn
Messages
375
Reaction score
57
TL;DR
Strain energy and elastic constants: why is the strain energy formed this way
(If this is in the wrong forum, please move it)

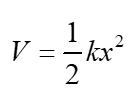
Here is the potential energy of a spring

1663669890254.png

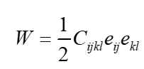
Here is the strain energy function in elasticity
1663669923571.png


The look alike -- I like that.

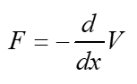
If we want the force in the spring, we take the derivative of V with respect to the displacement and make the result NEGATIVE
1663669998152.png

However, we note the following property of the strain energy function (from Fung's Solid Mechancis, page 128)

1663670034239.png


So, real stupid question: what happened to the negative?

I mean, I am trying to work my way through how elasticity, strain energy, etc. lead to the number of constants relating stress and strain. I will work this through on my own. I am trying to put all of this in some sort of contextual balance.

I can intuit the need for a strain energy function without the negative. But part of me wants to see the negative to make it harmonious with a spring.

Can someone get me out of this?
 
Engineering news on Phys.org
Try replacing the spring with a 1d bar. Upon extension, the bar experiences a tensile stress which produces a negative force on a point mass at the end of the bar/string.

The first equation looks at the force on a point mass. The force required to stretch the spring the relevant distance is the negative of this force.
 
Last edited:
  • Like
Likes   Reactions: Trying2Learn
Ah, of course. Thank you!
 

Similar threads

Replies
8
Views
2K
  • · Replies 2 ·
Replies
2
Views
2K
  • · Replies 1 ·
Replies
1
Views
2K
  • · Replies 2 ·
Replies
2
Views
7K
  • · Replies 9 ·
Replies
9
Views
4K
  • · Replies 2 ·
Replies
2
Views
2K
Replies
5
Views
1K
  • · Replies 2 ·
Replies
2
Views
2K
  • · Replies 1 ·
Replies
1
Views
2K
  • · Replies 1 ·
Replies
1
Views
2K