Stress in a tube due to external radial temperature gradiant

Click For Summary
SUMMARY

The discussion focuses on calculating inner and outer surface stresses on a pipe subjected to instantaneous temperature variations on the outer surface. The participant, Bruno, inquires about the applicability of Roark's formulas, typically used for inner surface temperature variations, to his scenario. The consensus is that while Roark's formulas can be adapted for outer surface temperature changes, one must account for the transient heat conduction equation and include thermal expansion in the stress equilibrium equation. The stresses will vary over time, necessitating a dynamic approach to the calculations.

PREREQUISITES
  • Understanding of Roark's formulas for stress analysis
  • Knowledge of transient heat conduction equations
  • Familiarity with thermal expansion concepts
  • Basic principles of stress equilibrium in materials
NEXT STEPS
  • Study the application of Roark's formulas for varying temperature conditions
  • Learn how to solve the transient heat conduction equation
  • Research the effects of thermal expansion on material stress
  • Explore dynamic stress analysis techniques in engineering
USEFUL FOR

Mechanical engineers, materials scientists, and anyone involved in stress analysis of pipes under thermal loading conditions will benefit from this discussion.

LACAZE
Messages
1
Reaction score
0
Hi everyone,
To begin, sorry for my english...:S

I try to calculate inner/outer surface stresses on a pipe submitted to instanatenous temperature variation on the OUTER SURFACE.

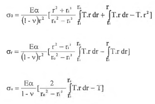
I know the Roark's formua giving the stresses but with an instantaneous temperature variation on the INNER SURFACE.
upload_2017-2-23_15-7-12.png


My question is: can i apply theses formulas to my case (but with a Delta T on the outer surface, not on the inner surface)?

For me, the Roark formulas is the combination result of the temperature formula on the thickness with the Hook formulas.
Temperature/thickness formula:
upload_2017-2-23_15-5-58.png
=>
upload_2017-2-23_15-6-15.png

Hook formula:
upload_2017-2-23_15-6-47.png
So, to my mind, i can apply it to my case, it is just the results sign which change (tension stresses in outer surface area and compression stresses in inner surface area for a outer negative tempeature variation).

Thanks a lot.

Bruno.
 
Engineering news on Phys.org
The temperature distribution in the shell is going to be a function of both time and position, not just position. For any given time you can solve for the temperature distribution within the shell by solving the transient heat conduction equation. Once you know that, you can solve the stress equilibrium equation for the stresses within the shell. You need to include the thermal expansion term in the stress equilibrium equation. The stresses will be changing as a function of time.
 

Similar threads

  • · Replies 2 ·
Replies
2
Views
2K
  • · Replies 6 ·
Replies
6
Views
3K
  • · Replies 14 ·
Replies
14
Views
5K
  • · Replies 3 ·
Replies
3
Views
7K
  • · Replies 1 ·
Replies
1
Views
2K
  • · Replies 1 ·
Replies
1
Views
2K
  • · Replies 6 ·
Replies
6
Views
25K
  • · Replies 2 ·
Replies
2
Views
2K
  • · Replies 14 ·
Replies
14
Views
28K
  • · Replies 9 ·
Replies
9
Views
4K