Stuck on Math Problem: Finding the Derivative

  • Thread starter Thread starter KF33
  • Start date Start date
  • Tags Tags
    Derivative Stuck
Click For Summary

Homework Help Overview

The discussion revolves around finding the derivative of a function at the point where x equals zero. Participants express confusion regarding the implications of substituting x with zero and the resulting behavior of the derivative.

Discussion Character

  • Conceptual clarification, Assumption checking

Approaches and Questions Raised

  • Some participants question the reasoning behind the cancellation of terms when x equals zero and whether this leads to a valid conclusion about the derivative. Others suggest considering L'Hopital's rule as a potential approach, while another participant notes that the definition of a derivative may suffice.

Discussion Status

The discussion is ongoing, with participants exploring different interpretations of the problem. Some guidance has been offered regarding the sufficiency of the derivative's definition, but no consensus has been reached on the best approach to take.

Contextual Notes

There is a mention of the original poster's uncertainty about the reasoning and proof related to the derivative at x equals zero, indicating potential gaps in understanding or missing information.

KF33
Messages
19
Reaction score
0

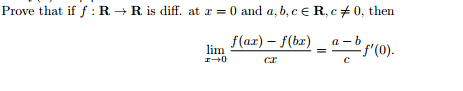
Homework Statement


I have been working on the problem below and I am stuck. I am stuck primarily because of the part where is says x=0. If x-0, it should cancel everything out. The derivative of 0 is 0 so will cancel everything out I think, so I am not sure if that is the reasoning and the proof behind it.

Homework Equations

The Attempt at a Solution


I thought I should start this way, but I am not 100% sure.[/B]
upload_2016-6-26_20-51-50.png
 

Attachments

  • cap 2.PNG
    cap 2.PNG
    3.3 KB · Views: 616
Physics news on Phys.org
KF33 said:

Homework Statement


I have been working on the problem below and I am stuck. I am stuck primarily because of the part where is says x=0. If x-0, it should cancel everything out. The derivative of 0 is 0 so will cancel everything out I think, so I am not sure if that is the reasoning and the proof behind it.

Homework Equations



The Attempt at a Solution


I thought I should start this way, but I am not 100% sure.[/B]
View attachment 102534
It's a good idea to have the problem statement visible in the OP.

cap-2-png.102533.png
 
L'Hopital's rule?
 
James R said:
L'Hopital's rule?

Not necessary with the hint in the OP, the definition of a derivative is enough.
 

Similar threads

  • · Replies 2 ·
Replies
2
Views
1K
Replies
1
Views
1K
  • · Replies 4 ·
Replies
4
Views
2K
  • · Replies 9 ·
Replies
9
Views
3K
  • · Replies 24 ·
Replies
24
Views
5K
Replies
1
Views
2K
  • · Replies 3 ·
Replies
3
Views
2K
Replies
14
Views
2K
  • · Replies 2 ·
Replies
2
Views
2K
  • · Replies 3 ·
Replies
3
Views
1K