Taylor expansion and parallel transport

Click For Summary
SUMMARY

The discussion centers on the application of Taylor expansion in the context of parallel transport and covariant derivatives in differential geometry. The user expresses confusion regarding the use of the "u" point in the Taylor expansion of the contravariant component of the Z vector, particularly when only "p" and "r" points are defined. The clarification provided indicates that "u" represents a point reached by transporting from "p" to "q" and then from "q" to "u" using specific differential elements. This aligns with the concepts outlined in Fionn Fitzmaurice's Differential Geometry.

PREREQUISITES
  • Understanding of parallel transport in differential geometry
  • Familiarity with covariant derivatives and their properties
  • Knowledge of Taylor expansion in the context of vector fields
  • Basic concepts from Fionn Fitzmaurice's Differential Geometry
NEXT STEPS
  • Study the implications of covariant derivatives in vector fields
  • Explore the concept of parallel transport in Riemannian geometry
  • Review Taylor expansion techniques in higher-dimensional spaces
  • Examine section 6.3 of Fionn Fitzmaurice's Differential Geometry for deeper insights
USEFUL FOR

Students and professionals in mathematics, particularly those focused on differential geometry, as well as researchers working on vector field analysis and related geometric concepts.

mertcan
Messages
343
Reaction score
6
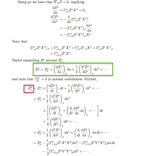
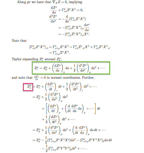
hi, first of all in this image there is a fact that we have parallel transported vector, and covariant derivative is zero along the "pr"path as you can see at the top of the image. I consider that p, and r is a point and in the GREEN box we try to make a taylor expansion of the contravariant component of Z vector at the "p" and "r" points. But in the RED box we try to make a taylor expansion of the contravariant component of Z vector at the "u" and "r" points. Here is my confusion: Although there is not a "u" point, instead is just "p" and "r" points, How can we use such a point? What does "u"point stand for?

I quoted from Differential Geometry Fionn Fitzmaurice page 36
 

Attachments

  • ımage XX.png
    ımage XX.png
    17.1 KB · Views: 854
Physics news on Phys.org
I have seen so many views, but I have not been replied for a long time... I am waiting your valuable return
 
Hi.

The point ##u = h_{ds}(q)##, i.e. transporting from ##p## to ##q## by ##dt## and then from ##q## to ##u## by ##ds##. It's the same construction as section 6.3.
 

Similar threads

  • · Replies 12 ·
Replies
12
Views
3K
  • · Replies 6 ·
Replies
6
Views
5K
  • · Replies 9 ·
Replies
9
Views
8K
  • · Replies 2 ·
Replies
2
Views
3K
Replies
7
Views
1K
  • · Replies 2 ·
Replies
2
Views
2K
  • · Replies 63 ·
3
Replies
63
Views
6K
  • · Replies 24 ·
Replies
24
Views
3K
  • · Replies 9 ·
Replies
9
Views
3K
  • · Replies 14 ·
Replies
14
Views
6K