Tension, Torque, and Angular Acceleration Calculation

  • Thread starter Thread starter maviss
  • Start date Start date
  • Tags Tags
    Tension Torque
Click For Summary

Homework Help Overview

The problem involves analyzing the forces and torques acting on a hammer during a hammer throw, specifically focusing on the tension in the cable and the net torque exerted by the athlete. The scenario includes a hammer being spun and released at a specific angle, with given values for mass, cable length, and velocity upon release.

Discussion Character

  • Mixed

Approaches and Questions Raised

  • Participants discuss using trigonometry and free body diagrams to analyze the forces acting on the hammer, including tension and weight. There is exploration of centripetal force and its relationship to tension in the cable. Questions arise about the relevance of gravitational force in the context of circular motion.
  • There is consideration of how torque is related to angular acceleration, with participants questioning whether torque can be zero if there is angular acceleration. Some suggest that tangential forces must be considered to calculate torque accurately.
  • Participants also explore the calculation of angular acceleration and its implications for tangential acceleration and torque.

Discussion Status

The discussion is ongoing, with participants providing insights and affirmations regarding the relationships between forces and torques. Some guidance has been offered on how to approach the calculations, but there is no explicit consensus on the final values or methods to be used.

Contextual Notes

Participants are working under the constraints of a homework assignment, which may limit the information available for discussion. There is an emphasis on understanding concepts rather than arriving at definitive answers.

maviss
Messages
8
Reaction score
0
Hi guys, I have a short assignment due this week and I'm a little unsure of whether I'm on the right track! It's an eight part question but I'll only put down two parts in two different sections below - the two parts I'm unsure of. Thanks for helping me out! I've also changed all the values for mass and etc, just so it's a little different to the assignment. It's the concepts I'm concerned with, not the answers.

Homework Statement



The problem involves a hammerthrow with a ball on the end of a cable being spun around and released by an athlete. The hammer is spun four times before release and is released at ground level at an angle 40 degrees to the horizontal.

mass of hammer: 7.678kg
length of cable: 1.562m
velocity of hammer upon release: 28.23m/s

In this section of the question, we are asked to find the tension force in the cable at the time of release.

Homework Equations



F = ma
F(net) = mv^2/r

The Attempt at a Solution



At first I thought that I could simply use trigonometry and the fact that the hammer is released 40 degrees from the horizontal to find the tension force. I drew a free body diagram of the weight and identified two forces - the tension force and the weight force. I found that the weight force was m x g = 7.678 x 9.8 = 75.24 N. Then I used cos (theta) = A/H and rearranged to find the tension force H (by subbing in theta = 40 and A = 75.24) to find that H = 98.22N.

When I thought about it more closely, I realized that the problem is one of circular motion and that the force exerted by the athlete is the only force acting towards the centre of the circle and that it must be the centripetal force in the system. So I used the equation F(net) = mv^2/r to find that Fc = (7.678 x 28.23^2)/1.562.

I got that Fc = 3917N.

So then I thought that Fc = T in this case because T also pulls the weight toward the centre of the circle, and that therefore T = 3917N.

Is the latter method correct? And what happens to the weight force I used originally, does it not matter when you're calculating the centripetal force?

Homework Statement



The problem premise is the same as before, only this time we are asked to find the net torque that the athlete exerts on the hammer. We are asked to assume that the angular acceleration is constant, and that all of the mass of the hammer is found in the ball.

mass of hammer: 7.678kg
length of cable: 1.562m
velocity of hammer upon release: 28.23m/s
from section above, tension force: 3917N.

Homework Equations



[tex]\omega[/tex] = v/r

2[tex]\alpha[/tex][tex]\delta[tex][tex]\theta[/tex] = ([tex]\omega[/tex]f)^2 - ([tex]\omega[/tex]i)^2)<br /> <br /> a (tangential) = [tex]\alpha[/tex]r<br /> <br /> [tex]\tau[/tex] = F x r x sin [tex]\Phi[/tex]<h2>The Attempt at a Solution</h2><br /> <br /> So again, at first glance, I think I got the wrong answer. I originally thought that because the axis of rotation is the athlete that the torque supplied by the athlete must be zero. But now I don't think that's right, is it?<br /> <br /> Because there is an angular acceleration? And for there to be an angular acceleration, there must be torque. So I figured that I needed to find the force that was applied tangential to the circle, since the hammer will travel in this direction when it is released and the athlete must be applying a force tangential to the circle for there to be an angular acceleration - is this correct?<br /> <br /> So, I found the angular acceleration using:<br /> <br /> 2[tex]\alpha[/tex]delta[tex]\theta[/tex] = ([tex]\omega[/tex]f)^2 - ([tex]\omega[/tex]i)^2)<br /> <br /> The initial angular velocity is 0 because the athlete spins the hammer from rest. The final angular velocity must be the velocity/the radius, so: 28.23/1.562 = 18.07radians/s. Subbing in these values, and because the hammer is spun four times traveling a total distance of 8pi radians<br /> <br /> I got:<br /> <br /> 2 x [tex]\alpha[/tex] x 8pi = 18.07^2 - 0<br /> Therefore [tex]\alpha[/tex]= 6.498 radians per second^2<br /> <br /> Then I used [tex]\alpha[/tex] to find the tangential acceleration by multiplying [tex]\alpha[/tex] by 1.562 to find at = 10.15.<br /> <br /> Then I used this to find the force tangential to the circle according to F = ma.<br /> <br /> F = 7.678 x 10.15 = 77.93N<br /> <br /> And then I used this value to calculate the torque. The radius is the distance from the axis of rotation and the angle at which it is applied is perpendicular to the axis of rotation, so:<br /> <br /> [tex]\tau[/tex] = 77.93 x 1.562 x sin (90)<br /> = 121.7<br /> <br /> Is this correct? Or have I just taken the question completely wrong? I'm really unsure about this part - I spent ages trying to figure it out and I don't know if I'm just overthinking it.<br /> <br /> Any help and advice appreciated, thanks so much![/tex][/tex]
 
Physics news on Phys.org
Just bumping this back up so that people might see it.
 
maviss said:
At first I thought that I could simply use trigonometry and the fact that the hammer is released 40 degrees from the horizontal to find the tension force. I drew a free body diagram of the weight and identified two forces - the tension force and the weight force. I found that the weight force was m x g = 7.678 x 9.8 = 75.24 N. Then I used cos (theta) = A/H and rearranged to find the tension force H (by subbing in theta = 40 and A = 75.24) to find that H = 98.22N.

When I thought about it more closely, I realized that the problem is one of circular motion and that the force exerted by the athlete is the only force acting towards the centre of the circle and that it must be the centripetal force in the system. So I used the equation F(net) = mv^2/r to find that Fc = (7.678 x 28.23^2)/1.562.

[...]

Is the latter method correct? And what happens to the weight force I used originally, does it not matter when you're calculating the centripetal force?

It does matter. You should combine both of your "ideas", that is, you know that just prior to release the hammer is moving in a circular motion where you know the tangential speed so you can calculate the centripetal force. At the same time gravity also apply to the hammer, so the cable have to "absorb" both the centripetal and some of the gravity force.

So again, at first glance, I think I got the wrong answer. I originally thought that because the axis of rotation is the athlete that the torque supplied by the athlete must be zero. But now I don't think that's right, is it?

Because there is an angular acceleration? And for there to be an angular acceleration, there must be torque.

Yes.


So I figured that I needed to find the force that was applied tangential to the circle, since the hammer will travel in this direction when it is released and the athlete must be applying a force tangential to the circle for there to be an angular acceleration - is this correct?

This it is one way to find a solution, yes.

[tex]\tau[/tex] = 77.93 x 1.562 x sin (90)
= 121.7

Is this correct?

This value is correct, but remember to include units in your final answer.

If you want to apply rotational mechanics (as opposed to linear mechanics) to solve your problem you could start with Euler's law that says that time rate change in angular moment L is equal to the net torque N and the definition that angular momentum L is equal to the moment of inertia I times angular speed ω, and from these you can quickly write up

[tex]N = \frac{dL}{dt} = I \frac{d\omega}{dt} = m r^2 \alpha[/tex]

where I = mr2 and α = dω/dt, which thus gives the torque from the well-knows values in your problem. If you insert your equation for the tangential force F into your equation for torque τ you will arrive at the same expression. If this didn't make any sense to you, then please just ignore it; you will probably learn about these concepts later.
 
Thanks so much for helping me out! I know it was a really long post.

So then the tension force in the rope should be 3917 PLUS 98.22 (the value for H in the first method)? To make 4015 N? Or do you just use mg for straight down (75.24) and add it to the tension caused by the tangential force?

Regarding the last equation, that makes sense, thanks for that! I always seem to find long winded ways of doing things.
 
maviss said:
So then the tension force in the rope should be 3917 PLUS 98.22 (the value for H in the first method)?

The 98.22N is not correct. If you draw a free body diagram for the hammer just before the release point and look at the forces in the radial direction, you can use the fact that at that point the total force on the hammer still makes the hammer move in a circular motion to write up a relation between the centripetal force Fc, the cable tension force Ft, and the projected gravity force Fgcos(θ). From this you can solve for Ft. (hint: the centripetal force is the total force acting on the hammer so it must be equal to the sum of the two others with proper sign).


Or do you just use mg for straight down (75.24) and add it to the tension caused by the tangential force?

No, it doesn't not make sense to add the magnitude of forces that point in different directions. Forces consist of both magnitude and directions, so when you add them you must in principle add them as vectors. Of course, if only one direction is interesting like in your case, you may sum the projection of each force onto that direction in order to find the projection of the total force onto that direction.
 
So if the centripetal force is the total force then F(net) = Fc?
And therefore Fc = Ft - Fgcos(θ) in the radial direction?

So basically I need to find the vector component of the weight force which acts in the opposite direction to the tension force but is still in the radial line? Is this what you mean?

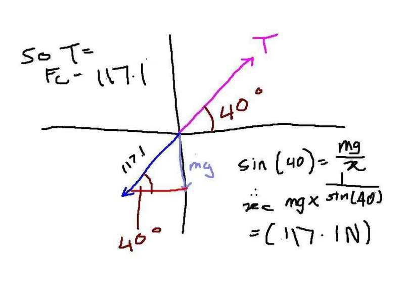
So if the angled component of the weight force is 117.1 N in the negative direction and the centripetal force is 3917 N in the positive direction then the tension force is 3917 + 117.1 = 4034 N?

Or still not right? ):
 
maviss said:
So if the centripetal force is the total force then F(net) = Fc?
And therefore Fc = Ft - Fgcos(θ) in the radial direction?

Correct.

So basically I need to find the vector component of the weight force which acts in the opposite direction to the tension force but is still in the radial line?

Yes.

So if the angled component of the weight force is 117.1 N in the negative direction and the centripetal force is 3917 N in the positive direction then the tension force is 3917 + 117.1 = 4034 N?

You are getting close, but the projection of the weight force onto the radial is not 117.1 N. (hint: you correctly calculated the weight as Fg = mg earlier, you only need to project that magnitude onto the radial which are at an angle θ to the vertical).
 
But if the mg force is projected onto the radial isn't it at an angle 50 degrees from the vertical? So then solving for the hypotenuse I would still get 117.1 ):
I'm really confused about what to do, I've drawn many free body diagrams but I can't seem to get any other value from the triangle except 117.1 or 98.2 no matter what I try!
 
osevrn.jpg


I drew a picture to show you what I mean ):
 
  • #10
You are not projecting the mg vector correctly (hint: it is not the radial that is to be projected onto the vertical, but vice versa).
 
  • #11
So...

77.24 x cos(50) = 49.65?
 
  • #12
maviss said:
So... 77.24 x cos(50) = 49.65?

Correct.
 
  • #13
And so T = 3917 + 49.65 = 3967 N?

Thanks so much for all of your help.
 

Similar threads

Replies
15
Views
2K
  • · Replies 14 ·
Replies
14
Views
2K
  • · Replies 12 ·
Replies
12
Views
1K
Replies
10
Views
3K
  • · Replies 4 ·
Replies
4
Views
1K
  • · Replies 13 ·
Replies
13
Views
1K
  • · Replies 35 ·
2
Replies
35
Views
3K
  • · Replies 22 ·
Replies
22
Views
3K
  • · Replies 18 ·
Replies
18
Views
2K
  • · Replies 19 ·
Replies
19
Views
3K