Tensor products of representation - Weyl spinors and 4vectors

Click For Summary

Discussion Overview

The discussion revolves around the direct products of representations in group theory, specifically focusing on Weyl spinors and their relation to four-vectors. Participants explore the implications of tensor products, transformation properties, and the interpretation of various representations within the context of the Lorentz group.

Discussion Character

  • Exploratory
  • Technical explanation
  • Conceptual clarification
  • Debate/contested

Main Points Raised

  • One participant questions the interpretation of \tau_{mn} as matrices versus spinors, expressing confusion over their roles in the context of tensor products.
  • Another participant suggests using Weyl dotted/undotted indices for clarity, emphasizing that spinors can be represented as matrices and that \tau_{\alpha\dot{\beta}} represents the components of a (1/2,1/2) spinor.
  • There is a discussion about the transformation properties of \psi_L^+\sigma^\mu\psi_L, with one participant asserting that it behaves as a genuine 4-vector under Lorentz transformations.
  • Concerns are raised about the decomposition of second rank tensors and the interpretation of the resulting representations, with participants noting the need to reconcile different views on how to treat these representations.
  • One participant expresses uncertainty about how to view \tau_{\frac{1}{2},\frac{1}{2}} as both a vector and a matrix, questioning how they can be considered equivalent.
  • Another participant clarifies that the (1/2,1/2) spinor is a scalar from the perspective of SL(2,C) and discusses the relationship between column vectors and matrices in this context.
  • There is a mention of the importance of understanding representations as mappings from SL(2,C) to linear operators acting on tensor products of complex linear spaces.

Areas of Agreement / Disagreement

Participants express differing views on the interpretation of \tau_{mn} and its relationship to spinors and matrices. There is no consensus on how to reconcile these interpretations, and the discussion remains unresolved.

Contextual Notes

Participants highlight the complexity of the topic, including the need for clarity regarding the roles of different indices and the transformation properties of various representations. There are unresolved questions about the mathematical steps involved in interpreting these representations.

teddd
Messages
62
Reaction score
0
Hi guys!
I'm having some problems in understanding the direct products of representation in group theory.

For example, take two right weyl spinors.
We can then write[tex]\tau_{0\frac{1}{2}}\otimes\tau_{0\frac{1}{2}}=\tau_{00}\oplus\tau_{01}[/tex]
Now they make me see that [itex](\sigma_2\psi_R^*)^+\sigma_2\psi_L=-\psi_R^+\psi_L[/itex] (where σ_2 is the second Pauli matrices, + indicates the adjoint and ψ_R is a right weyl spinor (and so is [itex]\sigma_2\psi_R^*[/itex])) and since this is invariant they say that this is the [itex]\tau_{00}[/itex].
Then since [tex]\Delta(\psi_L^+\sigma^\mu\psi_L)=\Lambda^\mu{}_\nu (\psi_L^+\sigma^\mu\psi_L)[/tex] (where [itex]\sigma^\mu=(1,-\sigma_k)[/itex] with 1 as the identity 2x2 matrix and σ as the pauli matrices, and Δ is the total variation of the field) transforms as a vector (with the Lorentz matrix) [itex]\tau_{11}[/itex] is a vector.

Now, there are some things i miss from the discussion above.

First of all, the [itex]\tau_{mn}[/itex] shouldn't indicate the matrices that act on the spinors? Here I'm treating those as the spinors themselves!

In second place, I cannot figure out why [itex]\psi_L^+\sigma^\mu\psi_L[/itex] should itself be a 4vector, since a [itex]\tau_{01}[/itex] acts on (or IS, i don't know) on 3 vectors.

To close, let me make another example:
In an exercise there was told that a second rank tensor [itex]t_{\mu\nu}[/itex] transforms according to the reducible representation [itex]T=\tau_{\frac{1}{2}\frac{1}{2}}\times\tau_{\frac{1}{2}\frac{1}{2}}[/itex] of the Lorentz group O(1,3).
It was asked to find the representation into the sum of irriducible representation.
It's said that the decomposition is [tex]T=\tau_{00}\otimes\tau_{10}\otimes\tau_{01}\otimes\tau_{11}\otimes[/tex]
where the scalar is the trace of the tensor, the [itex]\tau_{10}\otimes\tau_{01}[/itex] os the antisymmetric tensor and the last one is the traceless symmetric tensor.
This is ok, since i guess that this is the only interpretation that make the dimension match.

But here again is the interpretation of the [itex]\tau_{\frac{1}{2}\frac{1}{2}}[/itex] that messes me up: if i treat them as the elements on which the matrices acts upon they are 4-vectors [itex]a^\mu[/itex], and this is ok since the tensor product of two 4vectors is a matrices which can be decomposed into its trace, symmetric and antisymmetric part.
But if I see as matrices I lose all the sense of the exerciseThanks a lot for the attention!
 
Physics news on Phys.org
Honestly, I think you should be using the Weyl dotted/undotted indices. It's much more clear.

Of course, any spinor being a spinor tensor, thus a multilinear mapping, it has a matriceal representation, where possible.

[itex]\tau[/itex] is the spinor, in the sense that [itex]\displaystyle{\tau_{\displaystyle{\alpha\dot{\beta}}}}[/itex] are the 4 matrix elements of a (1/2,1/2) spinor in a standard basis of a tensor product of 2 2-dimensional vector spaces, one vector space for the left spinors, one for the right spinors.

ψ+LσμψL is a 4-tuple of complex scalars, which transforms as a 4-vector under restricted Lorentz transformations. All spinorial indices are summed over, the only free index is a vectorial one. Thus it is a genuine 4-vector.

As for the product of 2 (1/2,1/2) representations, what are you doing here ? Well, the tensor product of 2 vector spaces leads to a 4x4 matrix which can be decomposed into a traceless symmetric one, a trace times the unit matrix and an antisymmetric matrix.

Working with spinors is not different than working with ordinary vectors, because spinors are vectors or tensors from special linear spaces, the smallest one having 2 independent vectors which form a basis. My advice is not to supress the Weyl/Dirac indices, because these tell you which spinorial space is involved and how the spinor tensors behave under SL(2,C) or SO0(1,3).
 
Last edited:
It is convenient to use the notation
[tex]D^{(J,K)}, \ \ \mbox{or} \ (J,K),[/tex]
to describe representation space of dimension
[tex](2J+1)(2K+1)[/tex]
This is a linear vector space spanned by geometrical objects (spinorial tensors) labelled by [itex]2J[/itex] undotted and [itex]2K[/itex] dotted indices. So, you can think of [itex]D^{(J,K)}[/itex] either as vector with [itex](2J+1)(2K+1)[/itex] components, or [itex](2J+1)\times (2K+1)[/itex] matrix.
See posts # 24, 25 and 29 in
www.physicsforums.com/showthread.php?t=192572

Sam
 
Thanks for the answers fellas, but I'm going to need some extra help here!

I still have a hard time figuring out what is [itex]\tau_{mn}[/itex].
I mean, should i see it as a regular matrix or instead as an element like [itex]\tau_{mn}=\left(\begin{align}\psi_1\\\psi_2\\...\\\psi_{m+n}\end{align}\right)[/itex]?

Reading these phrases from your posts

τ is the spinor, in the sense that ταβ˙ are the 4 matrix elements of a (1/2,1/2) spinor in a standard basis of a tensor product of 2 2-dimensional vector spaces, one vector space for the left spinors, one for the right spinors.

and

This is a linear vector space spanned by geometrical objects (spinorial tensors) labelled by 2J undotted and 2K dotted indices. So, you can think of D(J,K) either as vector with (2J+1)(2K+1) components, or (2J+1)×(2K+1) matrix.
I'd say that this point of view is quite irrilevant, since they are both allowed.
So a left spinor [itex]\tau_{\frac{1}{2},0}[/itex] can be seen as a 2-component column vector [tex]\tau_{\frac{1}{2},0}=\left(\begin{align}\psi_1\\\psi_2\end{align}\right)[/tex] or like a (2x1) matrix, which has the same form.

But for a [itex]\tau_{\frac{1}{2},\frac{1}{2}}[/itex] spinor?
In that case i should have, for the vectorial point of view
[tex]\tau_{\frac{1}{2},\frac{1}{2}}=\left(\begin{align}\psi_1\\\psi_2\\\psi_3\\\psi_4\end{align}\right)[/tex]and for the matricial pov:
[tex]\tau_{\frac{1}{2},\frac{1}{2}}=\left(\begin{align}\psi_1&\psi_2\\\psi_3&\psi_4\end{align}\right)[/tex] which seems quite different to me!
How can i think of them as the same thing?
If I act on them with a matrix i would get completely different result!
(And how would they transform like?)

To Sam: I red your posts in the link you proposed me, they're quite clear but another thing i cannot catch is the (very important) sentence I've underlined below
The spin-1/2 representation, (1/2,0), corresponds to a 2-component object; the fundamental rep of the left SU(2).
at the beginning of post 25

Thanks a lot!
 
teddd said:
[...]

But for a [itex]\tau_{\frac{1}{2},\frac{1}{2}}[/itex] spinor?
In that case i should have, for the vectorial point of view
[tex]\tau_{\frac{1}{2},\frac{1}{2}}=\left(\begin{align}\psi_1\\\psi_2\\\psi_3\\\psi_4\end{align}\right)[/tex]and for the matricial pov:
[tex]\tau_{\frac{1}{2},\frac{1}{2}}=\left(\begin{align}\psi_1&\psi_2\\\psi_3&\psi_4\end{align}\right)[/tex] which seems quite different to me!
How can i think of them as the same thing?
If I act on them with a matrix i would get completely different result!
(And how would they transform like?)[...]

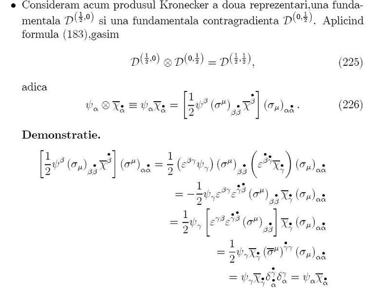
They are not the same thing, but related, and you can see it because the (1/2,1/2) spinor is a scalar from the point of view of SL(2,C), because it carries no free Weyl index. I have attached the calculation. The 'object' in the squared brackets is the 4-tuple. So it's a 4-tuple of numbers which form a genuine 4 vector and can be placed in a matrix either as a column vector, or as a 2x2 matrix with the Infeld-van der Waerden symbols.
 

Attachments

  • spinors.jpg
    spinors.jpg
    40.7 KB · Views: 1,153
Thanks for the pics dextercioby, but i don't know the notation you use (as well as the language)

The thing that confuses me is that i know that the [itex]\tau_{mn}[/itex] are the representation of the lorentz group, but i cannot see them as spinors/vectors!
The spinors are the things that [itex]\tau_{\frac{1}{2},0}[/itex] (or [itex]\tau_{0,\frac{1}{2}}[/itex]) act on!

How is that??
 
I think it has to do with what a representation is: A mapping from the group SL(2,C) to a the group of linear operators acting on a tensor product of complex linear spaces. A spinor is not the mapping, but the linear operator which acts on this tensor product. Choosing a basis in this tensor product yields components for these operators which can then be interpreted in terms of matrices, if the tensor rank is not higher than 2.
 
This makes sense. But it's like choosing a basis in a hilbert space, and to express any operator in function of it.

But still, the operator remains the operator, and it acts on elements of the Hilbert space itelf!

It's quite strange: the matrices of SL(2,C) act on spinors, how can they be the spinors themselves??



Thanks again for your patience!
 
teddd said:
This makes sense. But it's like choosing a basis in a hilbert space, and to express any operator in function of it.[...]

Good analogy.

teddd said:
[...]It's quite strange: the matrices of SL(2,C) act on spinors, how can they be the spinors themselves[...]

They are not. The group of 2x2 matrices of complex numbers which have unit determinant is mapped onto some group of linear operators acting on a tensor product of linear spaces. It's not mapped onto itself. The elementary spinor is a 2x1 matrix (left spinor) which is NOT a member of SL(2,C). The representation matrix, however, IS a 2x2 matrix which is an element of SL(2,C) and it's the reason we say that <left Weyl spinors transform under SL(2,C) in the fundamental representation>.
 
  • #10
Ok, so a left/right spinor is an element of a tensor product of linear spaces, precisely two of them, one for each component of the spinor itself.

The matricies under which they transform are obtained from a mapping from the SL(2,C) group.

But again, what is the representation matrix exactly? And what does it represent?
 
  • #11
No, the fundamental spinor, let's choose it left, is a matrix with one column and 2 lines. The space of such matrices is 2 dimensional. The tensor product appears only when considering spinors of higher rank, for example (1/2,1/2) which is the tensor product of 2 spinors, one left and one right.

The spinors bear physical significance only when interpreted in a theory of quantum mechanics. The representation matrix appears only when questions how the state of a quantum system, initially considered in one inertial reference system is viewed from another inertial reference system linked to the first one through a Lorentz transformation. The 2 spinors are linked through this representation matrix.
 
Last edited:

Similar threads

  • · Replies 1 ·
Replies
1
Views
4K
  • · Replies 1 ·
Replies
1
Views
2K
  • · Replies 9 ·
Replies
9
Views
4K
  • · Replies 2 ·
Replies
2
Views
2K
  • · Replies 17 ·
Replies
17
Views
3K
  • · Replies 2 ·
Replies
2
Views
4K
  • · Replies 12 ·
Replies
12
Views
4K
  • · Replies 12 ·
Replies
12
Views
2K
  • · Replies 3 ·
Replies
3
Views
2K
  • · Replies 27 ·
Replies
27
Views
4K