The derivative of Heat Capacity with respect of pressure

Click For Summary
SUMMARY

The discussion focuses on the derivatives of heat capacity with respect to pressure and volume for ideal gases. Specifically, it establishes that the derivative of heat capacity at constant pressure, (∂C_P/∂P)_T, is zero, as well as the derivative of heat capacity at constant volume, (∂C_V/∂V)_T, which is also zero. The participants reference the ideal gas law, pV=nKT, and utilize the internal energy differential equation, dU=(∂U/∂T)_V dT + (∂U/∂V)_T dV, to derive these results.

PREREQUISITES
  • Understanding of ideal gas law (pV=nKT)
  • Familiarity with thermodynamic concepts of heat capacity (C_P and C_V)
  • Knowledge of partial derivatives in thermodynamics
  • Basic principles of internal energy and its differential form
NEXT STEPS
  • Study the implications of (∂C_P/∂P)_T=0 for thermodynamic processes
  • Explore the relationship between internal energy and temperature for ideal gases
  • Investigate the role of volume in heat capacity calculations
  • Learn about the implications of heat capacity derivatives in real gases versus ideal gases
USEFUL FOR

This discussion is beneficial for students and professionals in thermodynamics, particularly those studying ideal gas behavior, heat capacity, and related physical chemistry concepts.

Astrocyte
Messages
15
Reaction score
4
Homework Statement
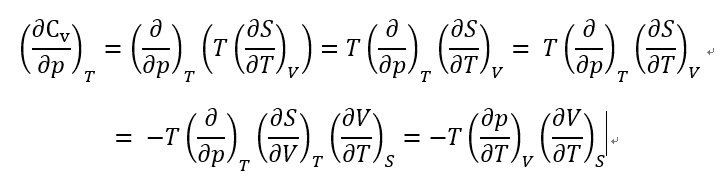
Show that derivative of Heat Capacity for constant V with respect of pressure for ideal gas is "zero"
(∂C_V/∂P)_T=0
Relevant Equations
C_V=T(∂S/∂T)_V, pV=nKT
1588453059354.png

I'm thinking about that for 1 hour. But, I could not do it.
 
Physics news on Phys.org
Your result for ideal gas is written as ##-p(\frac{\partial V}{\partial T})_S > 0 ##.

Not for this homework, but for slightly modified ones, i.e.,

Show that derivative of Heat Capacity for constant P with respect of pressure for ideal gas is "zero"
(∂C_P/∂P)_T=0

or

Show that derivative of Heat Capacity for constant V with respect of volume for ideal gas is "zero"
(∂C_V/∂V)_T=0

with pV=nKT, I could prove it.
 
Last edited:
Here's a hint: Start out by writing $$dU=\left(\frac{\partial U}{\partial T}\right)_VdT+\left(\frac{\partial U}{\partial V}\right)_TdV$$What are the partial derivatives in this equation equal to for the case of an ideal gas?
 

Similar threads

  • · Replies 8 ·
Replies
8
Views
1K
  • · Replies 4 ·
Replies
4
Views
2K
  • · Replies 2 ·
Replies
2
Views
988
Replies
25
Views
2K
  • · Replies 3 ·
Replies
3
Views
2K
Replies
14
Views
2K
Replies
4
Views
2K
  • · Replies 15 ·
Replies
15
Views
2K
Replies
7
Views
2K
  • · Replies 17 ·
Replies
17
Views
6K