The energy of the first excited state of the system

Click For Summary

Homework Help Overview

The discussion revolves around the energy levels of electrons in a two-dimensional square potential energy well. The original poster presents a problem involving five electrons and their first excited state energy, referencing a specific formula for single-particle energies.

Discussion Character

  • Exploratory, Conceptual clarification, Problem interpretation

Approaches and Questions Raised

  • Participants express uncertainty about how to apply the given formula for energy levels. Some seek clarification on the principles used in calculations, while others question the assumptions regarding the system's configuration and the implications of the Pauli Exclusion Principle.

Discussion Status

The discussion is ongoing, with participants exploring different interpretations of the energy levels and the implications of multi-electron systems. Some guidance has been offered regarding the principles involved, but there is no explicit consensus on the correct approach to the problems presented.

Contextual Notes

Participants note the complexity of the questions, particularly the distinction between the total energy of the system and the energy of individual electrons. There is also mention of potential flaws in the questions due to the nature of multi-electron interactions, which are acknowledged but not resolved in the discussion.

hidemi
Messages
206
Reaction score
36
Homework Statement
I used the eq. below, but I can't find the answer.
Relevant Equations
Σ (nx^2+ ny^2) (h2/8mL^2)
Five electrons are in a two-dimensional square potential energy well with sides of length L. The potential energy is infinite at the sides and zero inside. The single-particle energies are given by (h^2/8mL^2) (nx^2+ ny^2) where nx and ny are integers. The energy of the first excited state of the system is
(A) 13 (h^2/8mL^2) (B) 22 (h^2/8mL^2) (C) 24 (h^2/8mL^2) (D) 25 (h^2/8mL^2) (E) 27 (h^2/8mL^2)

the correct answer is B
 

Attachments

  • 1.jpg
    1.jpg
    30.3 KB · Views: 225
Physics news on Phys.org
What did you do?
 
PeroK said:
What did you do?
I know the formula, but I've no idea how to start.
 
hidemi said:
I know the formula, but I've no idea how to start.
In post #1 you wrote that you used the formula. If you meant that, show how you used it.
 
haruspex said:
In post #1 you wrote that you used the formula. If you meant that, show how you used it.

I calculate this way as per attached and gives me a matching answer. However, I use the same way to calculate the question below, I don’t have any answer.
 

Attachments

  • 截圖 2021-02-05 上午10.46.18.png
    截圖 2021-02-05 上午10.46.18.png
    36.1 KB · Views: 206
hidemi said:
I calculate this way as per attached and gives me a matching answer. However, I use the same way to calculate the question below, I don’t have any answer.
What principles are you using to calculate these answers? You haven't said anything about why you are choosing these system configurations.
 
hidemi said:
I calculate this way as per attached and gives me a matching answer. However, I use the same way to calculate the question below, I don’t have any answer.
So it seems you have now answered the question in post #1, right? but can't see how to use the same principles on the question in the attachment in post #5.
Now, this is a subject about which I know next to nothing, yet I think I see how it works.
For the six in ground state, what do you think their energy levels are? What is the next available level?
 
  • Like
Likes   Reactions: Steve4Physics and PeroK
haruspex said:
So it seems you have now answered the question in post #1, right? but can't see how to use the same principles on the question in the attachment in post #5.
Now, this is a subject about which I know next to nothing, yet I think I see how it works.
For the six in ground state, what do you think their energy levels are? What is the next available level?
 

Attachments

  • 1.jpg
    1.jpg
    21.4 KB · Views: 204
I'll name the questions to avoid confusion:
Q1: the original 5-electron question in post #1;
Q2: the '7-th electron' question in post #5's attachment.

From your postings it is not clear (to me at least) if you have now understood and correctly answered both questions!

Note that Q1 asks for the total energy of the system in its 1st excited state. But Q2 asks for the energy of only the 7-th electron in its ground state. Q1 and Q2 want different things - but you find them in similar ways.

Do you know which (who's) principle you are using?

As an additional note, multi-electron systems - such as the ones in the questions - have potential energy due to the mutual repulsion of the electrons. But the expression ##(n_x^2+n_y^2)\frac{h^2}{8mL}## only applies to a single electron with zero potential energy inside the 'well'. So the question is flawed. But you are meant to ignore that.

EDIT: Typo' corrected.
 
  • Like
Likes   Reactions: haruspex and PeroK
  • #10
Steve4Physics said:
I'll name the questions to avoid confusion:
Q1: the original 5-electron question in post #1;
Q2: the '7-th electron' question in post #5's attachment.

From your postings it is not clear (to me at least) if you have now understood and correctly answered both questions!

Note that Q1 asks for the total energy of the system in its 1st excited state. But Q2 asks for the energy of only the 7-th electron in its ground state. Q1 and Q2 want different things - but you find them in similar ways.

Do you know which (who's) principle you are using?

As an additional note, multi-electron systems - such as the ones in the questions - have potential energy due to the mutual repulsion of the electrons. But the expression ##(n_x^2+n_y^2)\frac{h^2}{8mL}## only applies to a single electron with zero potential energy inside the 'well'. So the question is flawed. But you are meant to ignore that.

EDIT: Typo' corrected.
Thanks your comments. I'll look into it more.
 
  • #11
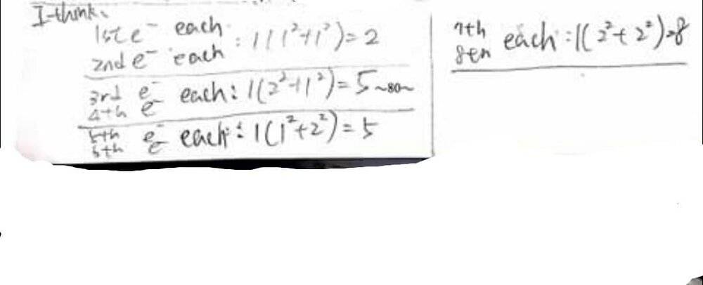
hidemi said:
(Attachment in post #8)
Those numbers lead to answer C, as required: 7th & 8th, 8 each.
 
  • Like
Likes   Reactions: hidemi
  • #12
haruspex said:
Those numbers lead to answer C, as required: 7th & 8th, 8 each.
So, my thoughts written in the post #8 attachment are correct?
If so, I still don't quite understand the calculation behind it. Do you have a better explanation?
 
  • #13
hidemi said:
So, my thoughts written in the post #8 attachment are correct?
If so, I still don't quite understand the calculation behind it. Do you have a better explanation?
As I wrote, I have never studied the subject, so my understanding is based on this thread, and a vague understanding that electrons have no individuality.
No two electrons can be in the same state in the well, and such a state is defined by spin and an ordered pair (m,n) of natural numbers, spin being binary. The energy is characterized by the sum of squares of m, n.
So for the lowest total energy we fill in two with opposite spins at (1,1), two at (1,2), two at (2,1). After that it gets a bit trickier because you need to figure out that e.g. 22+22<12+32.
 
  • Like
Likes   Reactions: PeroK
  • #14
hidemi said:
So, my thoughts written in the post #8 attachment are correct?
If so, I still don't quite understand the calculation behind it. Do you have a better explanation?
How is it that you are studying QM and basic kinematics at the same time?

The QM square well, Pauli Exclusion Principle and electron energy/spin states are a lot more advanced than SUVAT equations!
 
  • #15
haruspex said:
As I wrote, I have never studied the subject, so my understanding is based on this thread, and a vague understanding that electrons have no individuality.
No two electrons can be in the same state in the well, and such a state is defined by spin and an ordered pair (m,n) of natural numbers, spin being binary. The energy is characterized by the sum of squares of m, n.
So for the lowest total energy we fill in two with opposite spins at (1,1), two at (1,2), two at (2,1). After that it gets a bit trickier because you need to figure out that e.g. 22+22<12+32.
Yes, this is the Pauli Exclusion Principle. It's the same basis on which atomic orbitals fill up, with at most two electrons occupying each distinct energy state.
 
  • #16
PeroK said:
Yes, this is the Pauli Exclusion Principle. It's the same basis on which atomic orbitals fill up, with at most two electrons occupying each distinct energy state.
It just dawned on me that if you consider the points with integer coordinates in the first quadrant then the energy order matches the order of distance from the origin,
 
  • #17
haruspex said:
It just dawned on me that if you consider the points with integer coordinates in the first quadrant then the energy order matches the order of distance from the origin,
Yes, for a large number of electrons you can map the occupied states to an octant in k-space, were $$\vec k = (\frac{\pi n_x}{L_x},\frac{\pi n_y}{L_y}, \frac{\pi n_z}{L_z})$$.
This leads to the concept of the Fermi Energy and Fermi Surface etc.:

https://en.wikipedia.org/wiki/Fermi_energy
 
  • #18
PeroK said:
How is it that you are studying QM and basic kinematics at the same time?

The QM square well, Pauli Exclusion Principle and electron energy/spin states are a lot more advanced than SUVAT equations!
I am reviewing all these topics.
 

Similar threads

  • · Replies 6 ·
Replies
6
Views
2K
  • · Replies 3 ·
Replies
3
Views
2K
Replies
3
Views
9K
  • · Replies 7 ·
Replies
7
Views
3K
  • · Replies 58 ·
2
Replies
58
Views
3K
  • · Replies 6 ·
Replies
6
Views
2K
  • · Replies 2 ·
Replies
2
Views
5K
  • · Replies 12 ·
Replies
12
Views
3K
Replies
2
Views
1K
  • · Replies 4 ·
Replies
4
Views
2K