The Inertia Tensor .... Determining Components of Angular Momentum ....

Click For Summary

Discussion Overview

The discussion revolves around deriving the components of Angular Momentum and the Inertia Tensor as presented in the book "Tensor Calculus for Physics" by Dwight E. Neuenschwander. Participants are seeking clarification on the mathematical derivation and the transition from one equation to another, specifically from equation 2.9 to equation 2.11.

Discussion Character

  • Technical explanation
  • Mathematical reasoning
  • Debate/contested

Main Points Raised

  • One participant expresses difficulty in understanding the derivation of the components of Angular Momentum and requests detailed assistance.
  • Another participant suggests that the derivation is straightforward and involves writing equation 2.9 in index form while considering equation 2.10.
  • A participant attempts to demonstrate the derivation from equation 2.9 to equation 2.11 but expresses uncertainty about the correctness of their approach.
  • Another participant argues that the derivation is being overcomplicated and provides an alternative expression for the ith component of Angular Momentum, emphasizing the use of index notation and the summation convention.
  • The initial poster expresses gratitude for the assistance received, indicating that the responses have been helpful.

Areas of Agreement / Disagreement

There is no clear consensus on the best approach to derive the components of Angular Momentum. Some participants believe the derivation is straightforward, while others feel it is being overcomplicated. Multiple viewpoints on the derivation process remain unresolved.

Contextual Notes

Participants have not fully resolved the mathematical steps involved in the derivation, and there are varying interpretations of the equations presented. The discussion reflects differing levels of comfort with the material and the complexity of tensor calculus.

Math Amateur
Gold Member
MHB
Messages
3,920
Reaction score
48
TL;DR
I am having trouble following Neuenschwander's logic in deriving the components of angular momentum ... as he proceed to derive the components of the inertia tensor
I am reading Tensor Calculus for Physics by Dwight E. Neuenschwander and am having difficulties in following his logic regarding proceeding to derive the components of Angular Momentum and from there the components of the Inertia Tensor ...

On page 36 we read the following:
Neuenschwander ... Section 2,2 page 36.png


In the above text by Neuenschwander we read the following:

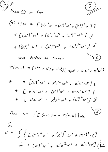
" ... ... ## L = \int [ ( r \bullet r ) \omega - r ( r \bullet \omega ) ] dm ## ... ... ... (2.9)

Relative to an xyz coordinate system and noting that

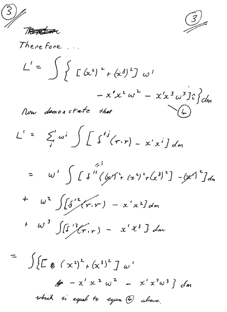
## \omega^i = \sum_j \omega^j \delta^{ij} ## ... ... ... (2.10)

the ith component of L may be written

## L^i =\sum_j \omega^j \ \int [ \delta^{ij} ( r \bullet r ) - x^i x^j] dm ## ... ... ... (2.11) ... ... ... "Can some please (... preferably in some detail) show me how Neuenschwander derives the expression for ## L^i ### (that is equation 2.11 from the equations above 2.11 ...Help will be much appreciated ...
Now I think it will be helpful for readers of the above post to have access to the start of Section 2.2 so i am providing this ... as follows:

Neuenschwander ... section 2.2 Page 34 .png


Neuenschwander ... Section 2,2 Page 35.png


'
Hope that helps

Peter
 
Last edited:
Physics news on Phys.org
There is not much to be shown as it is just writing equation 2.9 on index form while keeping 2.10 in mind.
 
Thanks for the reply Orodruin ... Given that it should be straight forward i had another shot at demonstrating the Neuenschwander Equation 2.9 leads to (the compact and rather non-intuitive IMO) equation 2.11 ... I think my demonstration is OK ... but not completely sure ... details follow ...

Peter
... 2.11 follows from 2.9 ... Page 1.png
... 2.11 follows from 2.9 ... Page  2 .png
... 2.11 follows from 2.9 ... Page  3 ... .png
Hope that is OK ...

Peter
 
You are way overcomplicating things by writing out all the terms explicitly. The ith component of any vector ##\vec v## is given by ##v_i = \vec e_i \cdot \vec v## and therefore
$$
L_i = \vec e_i\cdot \vec L
= \int [r^2 \vec e_i\cdot\vec\omega - (\vec e_i\cdot \vec x)(\vec x\cdot \vec \omega)] dm
= \int [r^2 \omega_i - x_i (\vec x\cdot \vec \omega)] dm.
$$
Now use that ##\omega_i = \delta_{ij}\omega_j## and ##\vec x \cdot \vec \omega = x_j \omega_j## (implicit sums over j due to the summation convention) and you obtain
$$
L_i
= \int [r^2 \delta_{ij}- x_i x_j]\omega_j dm
$$
where ##\omega_j## is constant and can be moved out of the integral.
 
Last edited:
  • Like
Likes   Reactions: Math Amateur
Thanks Orodruin … most helpful …

Appreciate your help …

Peter
 

Similar threads

  • · Replies 4 ·
Replies
4
Views
2K
  • · Replies 16 ·
Replies
16
Views
4K
  • · Replies 3 ·
Replies
3
Views
7K
  • · Replies 30 ·
2
Replies
30
Views
5K
  • · Replies 1 ·
Replies
1
Views
2K
  • · Replies 17 ·
Replies
17
Views
2K
  • · Replies 3 ·
Replies
3
Views
2K
  • · Replies 5 ·
Replies
5
Views
3K
  • · Replies 1 ·
Replies
1
Views
1K
  • · Replies 6 ·
Replies
6
Views
1K