The k direction in a k.p model ?

Click For Summary

Discussion Overview

The discussion centers around the definition and representation of the k direction in an 8 by 8 k.p model of GaN as proposed by S. Chuang. Participants explore how to express the direction of kx and ky in the context of drawing an E-k curve along the path from the Γ point to the M point in reciprocal space.

Discussion Character

  • Technical explanation
  • Conceptual clarification
  • Debate/contested

Main Points Raised

  • One participant inquires about how the directions of kx and ky are defined in the 8 by 8 Hamiltonian and how to express the path from Γ to M in terms of these variables.
  • Another participant suggests that k can be represented as k=(0,λ,0) with λ=0 corresponding to Γ and λ=k_M corresponding to M, referencing a graph from a different article.
  • A later reply questions how to determine the k direction solely from the Hamiltonian and basis functions without additional graphical references.
  • One participant explains that the points Γ, M, and Σ indicate that the Hamiltonian is invariant under specific groups of rotations and reflections, known as "little groups of the wavevector," and suggests looking up the elements of the point group for GaN to ensure the Hamiltonian remains invariant for the chosen k.

Areas of Agreement / Disagreement

Participants express varying levels of understanding regarding the definition of k direction and the implications of the Hamiltonian's invariance. There is no clear consensus on how to derive the k direction solely from the Hamiltonian.

Contextual Notes

Participants note the importance of the invariance of the Hamiltonian under specific transformations related to the point group of GaN, but details on how to apply this to the k direction remain unresolved.

lichen1983312
Messages
85
Reaction score
2
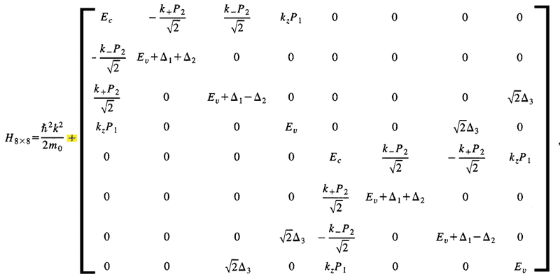
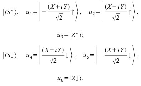
I am trying to do some calculation based on a k.p model of GaN proposed by S. Chuang [Phys. Rev. B, 54, 2491]. It is a 8 by 8 Kane model with basis functions:
basis function.png

The 8 by 8 Hamiltonian contain first order of k is
Hamiltonian 8by8.png

where ##{k_ \pm } = {k_x} \pm i{k_y}##

the reciprocal space and high symmetry points is pictures as [Phys. rev. B, 53, 10173]
k-space.png


My question is: How is the direction of kx and ky defined in the 8 by 8 Hamiltonian?
Put is in another way. If I want to draw a E-k curve along ##\Gamma \to M##, how do I express this direction in terms of kx and ky ?
Thanks very much, please help.
 

Attachments

  • basis function.png
    basis function.png
    5.2 KB · Views: 1,119
  • k-space.png
    k-space.png
    14.1 KB · Views: 779
  • Hamiltonian 8by8.png
    Hamiltonian 8by8.png
    12.7 KB · Views: 1,230
Physics news on Phys.org
##k=(0,\lambda,0)^T## with ##\lambda=0## corresponding to ##\Gamma## and ##\lambda=k_\mathrm{M}## corresponding to M?
 
DrDu said:
##k=(0,\lambda,0)^T## with ##\lambda=0## corresponding to ##\Gamma## and ##\lambda=k_\mathrm{M}## corresponding to M?
Thanks
That is what is said in the graph, which is taken from a different article.

But if I only look at the Hamitonian and the basis functions, how can I tell?
 
##\Gamma##, M , ##\Sigma##, means that the hamiltonian is invariant under a specific group of rotations and reflections, respectively, which also leave k invariant. These groups are called the "little groups of the wavevector". This are sub groups of the point group under which ##\Gamma## is invariant. Look up which elements they contain in case of the Point Group of GaN and make sure that for the coice of k, your Hamiltonian is invariant under the corresponding transformations.
 
DrDu said:
##\Gamma##, M , ##\Sigma##, means that the hamiltonian is invariant under a specific group of rotations and reflections, respectively, which also leave k invariant. These groups are called the "little groups of the wavevector". This are sub groups of the point group under which ##\Gamma## is invariant. Look up which elements they contain in case of the Point Group of GaN and make sure that for the coice of k, your Hamiltonian is invariant under the corresponding transformations.
Thanks very much, I will look into it.
 

Similar threads

  • · Replies 2 ·
Replies
2
Views
3K
  • · Replies 1 ·
Replies
1
Views
4K
  • · Replies 1 ·
Replies
1
Views
5K
  • · Replies 6 ·
Replies
6
Views
22K
Replies
24
Views
8K
  • · Replies 19 ·
Replies
19
Views
19K