The hermicity of a k.p matrix?

Click For Summary
SUMMARY

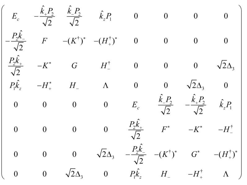
The discussion focuses on the hermicity of a k.p matrix used in quantum well band structure analysis. The Hamiltonian presented is confirmed to be an Hermitian operator, despite confusion regarding the (1,4) and (4,1) terms when applying the finite difference method. The terms involve derivatives with respect to z, leading to a misunderstanding about the sign of the resulting matrix elements. The constants P1 and P2 are clarified as non-operators within the context of k·p theory, supporting the hermitian nature of the matrix as referenced in the paper from J. Appl. Phys.

PREREQUISITES
  • Understanding of k·p perturbation theory
  • Familiarity with quantum mechanics and Hamiltonians
  • Knowledge of finite difference methods in numerical analysis
  • Basic concepts of Hermitian operators in linear algebra
NEXT STEPS
  • Review the paper "J. Appl. Phys., 116, 033709(2014)" for detailed Hamiltonian examples
  • Study the properties of Hermitian matrices in quantum mechanics
  • Learn about the finite difference method for solving differential equations
  • Explore advanced topics in k·p theory and its applications in semiconductor physics
USEFUL FOR

Researchers, physicists, and graduate students studying quantum mechanics, particularly those focused on semiconductor physics and band structure analysis.

lichen1983312
Messages
85
Reaction score
2
I am trying to use the k.p method to study quantum well band structure. One example Hamiltonian look like this [J. Appl. Phys., 116, 033709(2014)]

Hamiltonian.png
where
##{{\hat k}_ \pm } = {{\hat k}_x} \pm i{{\hat k}_y}##
and the matrix elements are function of ##{{\hat k}_i}##
and if quantum well is grown along z direction
the envelop functions have the form
\[F(x,y,z) = {e^{i{{\bf{k}}_\parallel } \cdot {\bf{r}}}}f(z)\]

and therefore

##\left\{ \begin{array}{l}
{{\hat k}_x} = - i\frac{\partial }{{\partial x}} \to {k_x}\\
{{\hat k}_y} = - i\frac{\partial }{{\partial y}} \to {k_y}\\
{{\hat k}_z} = - i\frac{\partial }{{\partial z}}
\end{array} \right.##

this Hamiltonian is an hermitian operator, but I am confused about this. For example, if I look at the (1,4) and (4,1) terms and use ${{\hat k}_z}=-i{\partial _z}$, the (1,4) term becomes
##-i{\partial _z}{P_1}##
and the (4,1) term becomes
##- i{P_1}{\partial _z}##

If I use finite difference method to turn these two terms into a matrix block, the factor -i is not going to flip sign and the matrix cannot he a hermitian matrix?

there must be something wrong with my understanding, please help.
 

Attachments

  • Hamiltonian.png
    Hamiltonian.png
    17 KB · Views: 1,389
Physics news on Phys.org
I have to look at the paper first, the matrix is hermitian, but I will say that [itex]P_1[/itex] and [itex]P_2[/itex] are constants, not operators if I remember my [itex]\vec{k} \cdot \vec{p}[/itex] theory correctly.
 
Dr Transport said:
I have to look at the paper first, the matrix is hermitian, but I will say that [itex]P_1[/itex] and [itex]P_2[/itex] are constants, not operators if I remember my [itex]\vec{k} \cdot \vec{p}[/itex] theory correctly.
Thanks very much, the reference is this one :
https://aip.scitation.org/doi/10.1063/1.4890585
 

Similar threads

Replies
1
Views
2K
  • · Replies 4 ·
Replies
4
Views
3K
  • · Replies 2 ·
Replies
2
Views
2K
  • · Replies 1 ·
Replies
1
Views
2K
  • · Replies 1 ·
Replies
1
Views
2K
  • · Replies 5 ·
Replies
5
Views
2K
  • · Replies 2 ·
Replies
2
Views
2K
  • · Replies 2 ·
Replies
2
Views
3K
  • · Replies 4 ·
Replies
4
Views
7K
  • · Replies 1 ·
Replies
1
Views
1K