The Marginal pdf of a Function

Click For Summary
SUMMARY

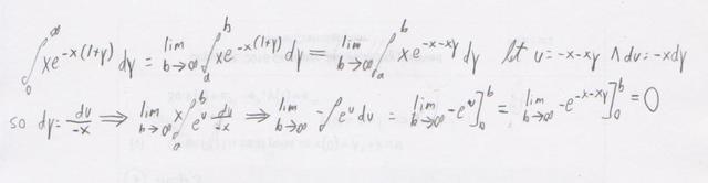
The discussion centers on evaluating the integral from 0 to infinity of xe^[-x(1+y)]dy, specifically addressing the marginal probability density function (pdf) of a function. Participants express confusion regarding the output of zero for the pdf and the indefinite integral result of xy*e^(-x-xy). The consensus confirms that substituting the upper limit results in zero, while the lower limit yields -e^(-x), clarifying the misunderstanding surrounding the integral's evaluation.

PREREQUISITES
  • Understanding of integral calculus, specifically improper integrals.
  • Familiarity with probability density functions (pdf) and their properties.
  • Knowledge of exponential functions and their behavior in limits.
  • Experience with mathematical software or calculators for evaluating integrals.
NEXT STEPS
  • Review techniques for evaluating improper integrals, particularly those involving exponential functions.
  • Study the properties of marginal probability density functions in statistics.
  • Learn about the application of limits in calculus, especially in the context of integrals.
  • Explore advanced integration techniques, such as integration by parts and substitution methods.
USEFUL FOR

Students studying calculus, statisticians working with probability distributions, and anyone involved in mathematical analysis of functions.

Shoney45
Messages
65
Reaction score
0

Homework Statement

The integral from 0 to infinity of xe^[-x(1+y)]dy



Homework Equations





The Attempt at a Solution


3105697.jpg


I can't figure out why the answer would be zero to a pdf. Also, for the indefinite integral the calculator produces the answer xy*e^(-x-xy). I cant' figure out how to get that answer, nor can I figure out if it would even matter if I was able to.

I guess I'm just asking for another set of eyes to look over my work and see if there is something that I am missing.
 
Physics news on Phys.org
aren't you supposed to get -e^(-x)
?

when you plug 'b' into y, the term becomes zero.
but when you plug zero, it becomes -e^(-x)*1
 
Roni1985 said:
aren't you supposed to get -e^(-x)
?

when you plug 'b' into y, the term becomes zero.
but when you plug zero, it becomes -e^(-x)*1

Yes! You're right! Something was bugging me about that big fat zero. I knew I needed another set of eyes. Thanks a lot!
 

Similar threads

  • · Replies 5 ·
Replies
5
Views
3K
  • · Replies 4 ·
Replies
4
Views
4K
  • · Replies 3 ·
Replies
3
Views
3K
Replies
6
Views
2K
  • · Replies 3 ·
Replies
3
Views
3K
  • · Replies 3 ·
Replies
3
Views
1K
  • · Replies 1 ·
Replies
1
Views
2K
Replies
5
Views
2K
  • · Replies 2 ·
Replies
2
Views
2K
  • · Replies 6 ·
Replies
6
Views
2K