The Number e .... Another Issue/Problem Regarding Sohrab Proposition 2.3.15 ....

  • Context: MHB 
  • Thread starter Thread starter Math Amateur
  • Start date Start date
Click For Summary
SUMMARY

The discussion centers on Proposition 2.3.15 from Houshang H. Sohrab's "Basic Real Analysis" (Second Edition), specifically regarding the proof involving the inequality $$t_n \geq 1 + 1 + \frac{1}{2!} \left(1 - \frac{1}{n}\right) + \ldots + \frac{1}{m!} \left(1 - \frac{1}{n}\right) \ldots \left(1 - \frac{m-1}{n}\right)$$ for fixed $$m \in \mathbb{N}$$ and $$n \geq m$$. The conclusion drawn is that taking the limit inferior as $$n \to \infty$$ leads to the result $$s_m = \sum_{k=0}^m \frac{1}{k!} \leq \text{lim inf}(t_n)$$. This establishes the relationship between the series and the limit inferior of the sequence.

PREREQUISITES
  • Understanding of sequences and series in real analysis
  • Familiarity with limit inferior concepts
  • Knowledge of factorial notation and its properties
  • Basic proficiency in mathematical proofs and inequalities
NEXT STEPS
  • Study the concept of limit inferior in real analysis
  • Review the proofs and applications of inequalities in sequences
  • Examine other propositions in Sohrab's "Basic Real Analysis" for deeper insights
  • Explore the convergence of series and their relationship to sequences
USEFUL FOR

Students and educators in mathematics, particularly those focusing on real analysis, as well as anyone seeking to understand the intricacies of sequences and series in mathematical proofs.

Math Amateur
Gold Member
MHB
Messages
3,920
Reaction score
48
I am reading Houshang H. Sohrab's book: "Basic Real Analysis" (Second Edition).

I am focused on Chapter 2: Sequences and Series of Real Numbers ... ...

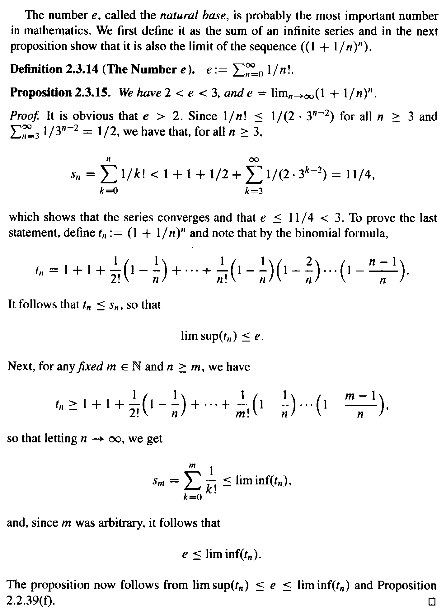
I need help with another issue/problem with the proof of Proposition 2.3.15 ...Proposition 2.3.15 and its proof read as follows:
View attachment 9076
In the above proof by Sohrab we read the following:

" ... ...Next, for any fixed $$m \in \mathbb{N}$$ and $$n \geq m$$, we have

$$t_n \geq 1 + 1 + \frac{1}{ 2! } \left( 1 - \frac{1}{ n } \right) + \ ... \ + \frac{1}{ m! } \left( 1 - \frac{1}{ n } \right) \ ... \ \left( 1 - \frac{m - 1}{ n } \right) $$so that letting $$n \to \infty$$ we get

$$s_m = \sum_{ k = 0 }^m \frac{1}{ k! } \leq \text{ lim inf } (t_n)$$ ... ... "
My question is as follows:

How does the statement:" ... ... for any fixed $$m \in \mathbb{N}$$ and $$n \geq m$$, we have

$$t_n \geq 1 + 1 + \frac{1}{ 2! } \left( 1 - \frac{1}{ n } \right) + \ ... \ + \frac{1}{ m! } \left( 1 - \frac{1}{ n } \right) \ ... \ \left( 1 - \frac{m - 1}{ n } \right) $$ ... " and letting $$n \to \infty$$ ...
... ... lead to the statement that ... $$s_m = \sum_{ k = 0 }^m \frac{1}{ k! } \leq \text{ lim inf } (t_n)$$ ... ... In other words ... can someone explain in some detail how/why $$s_m = \sum_{ k = 0 }^m \frac{1}{ k! } \leq \text{ lim inf } (t_n)$$ ... ...is true?

Help will be appreciated ...

Peter
 

Attachments

  • Sohrab - Proposition 2.3.15 ... .png
    Sohrab - Proposition 2.3.15 ... .png
    26.9 KB · Views: 162
Last edited:
Physics news on Phys.org
Hi Peter,

Peter said:
can someone explain in some detail how/why $$s_m = \sum_{ k = 0 }^m \frac{1}{ k! } \leq \text{ lim inf } (t_n)$$ ... ...is true?

Take liminf on both sides of the inequality $$t_{n}\geq 1+1+\ldots$$ with respect to $n$. Since the limit of the right side with respect to $n$ exists and is equal to $s_{m}$, this is the value of the liminf of the right side.
 
GJA said:
Hi Peter,
Take liminf on both sides of the inequality $$t_{n}\geq 1+1+\ldots$$ with respect to $n$. Since the limit of the right side with respect to $n$ exists and is equal to $s_{m}$, this is the value of the liminf of the right side.
Thanks GJA ...

Working on what you have suggested ...

Peter
 

Similar threads

Replies
4
Views
2K
  • · Replies 2 ·
Replies
2
Views
2K
Replies
2
Views
2K
  • · Replies 2 ·
Replies
2
Views
1K
  • · Replies 4 ·
Replies
4
Views
2K
  • · Replies 2 ·
Replies
2
Views
2K
  • · Replies 2 ·
Replies
2
Views
2K
  • · Replies 3 ·
Replies
3
Views
2K
  • · Replies 2 ·
Replies
2
Views
2K
Replies
2
Views
2K