The Number e .... Another Question Regarding Sohrab Proposition 2.3.15 ....

  • Context: MHB 
  • Thread starter Thread starter Math Amateur
  • Start date Start date
Click For Summary

Discussion Overview

The discussion revolves around Proposition 2.3.15 from Houshang H. Sohrab's "Basic Real Analysis," specifically focusing on the relationship between sequences \( t_n \) and \( s_n \) and their limits. Participants seek clarification on how the inequality \( t_n \leq s_n \) leads to the conclusion that \( \text{ lim sup } ( t_n ) \leq e \), where \( e \) is the limit of \( s_n \).

Discussion Character

  • Technical explanation
  • Mathematical reasoning

Main Points Raised

  • One participant questions how the inequality \( t_n \leq s_n \) implies \( \text{ lim sup } ( t_n ) \leq e \).
  • Another participant suggests that \( t_n \leq s_n \) leads to \( \limsup_{ n \to \infty } t_n \leq \limsup_{ n \to \infty } s_n \), and subsequently to \( \limsup_{ n \to \infty } t_n \leq e \) since \( \limsup_{ n \to \infty } s_n = e \).
  • A participant acknowledges the need to verify the proposition regarding the relationship between \( t_n \) and \( s_n \) and expresses uncertainty about its validity.
  • Another participant confirms the truth of the proposition and encourages proving it using the definition of limsup.
  • One participant expresses gratitude for the clarification and notes that the conclusion follows from the definition of lim sup.

Areas of Agreement / Disagreement

Participants do not reach a consensus on the implications of the inequality \( t_n \leq s_n \) regarding \( \text{ lim sup } ( t_n ) \). Some participants express uncertainty and seek further verification, while others assert the validity of the relationship.

Contextual Notes

Participants discuss the need for a deeper understanding of the definitions and properties of limits and lim sup, indicating that assumptions about convergence may not be fully established.

Math Amateur
Gold Member
MHB
Messages
3,920
Reaction score
48
I am reading Houshang H. Sohrab's book: "Basic Real Analysis" (Second Edition).

I am focused on Chapter 2: Sequences and Series of Real Numbers ... ...

I need help with an another aspect of the proof of Proposition 2.3.15 ...

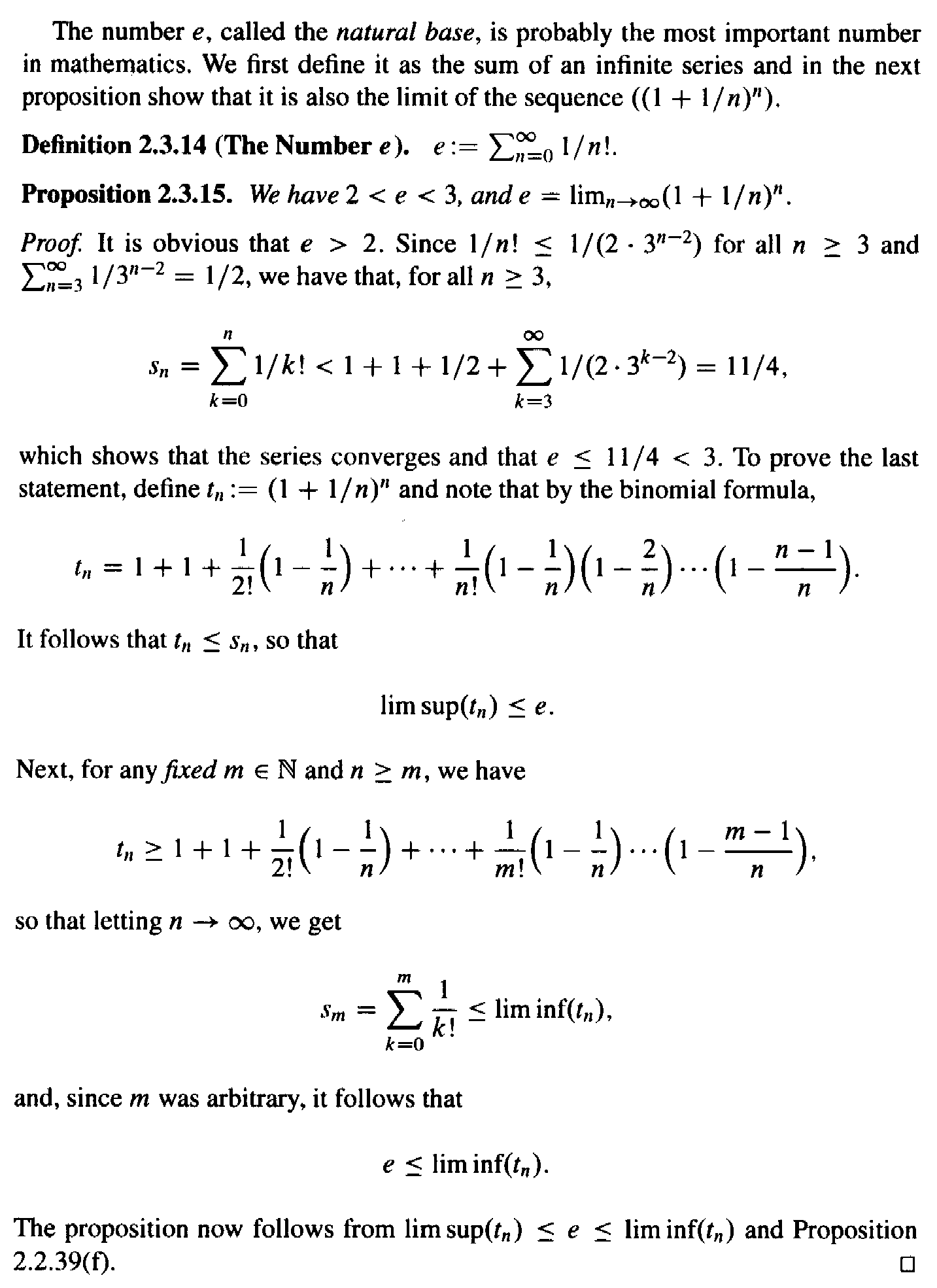
Proposition 2.3.15 and its proof read as follows:
View attachment 9072
In the above proof by Sohrab, we read the following:

" ... ... It follows that $$t_n \leq s_n$$ so that

$$\text{ lim sup } ( t_n ) \leq e$$ ... ... "
Can someone please explain exactly how/why $$t_n \leq s_n \Longrightarrow \text{ lim sup } ( t_n ) \leq e$$ ... ... ?

My thoughts so far are as follows:

$$t_n \leq s_n$$$$\Longrightarrow \lim_{ n \to \infty } t_n \leq \lim_{ n \to \infty } s_n$$ $$\Longrightarrow \lim_{ n \to \infty } t_n \leq e$$But ... how/why can we conclude that $$\text{ lim sup } ( t_n ) \leq e$$ ... ... ?

***EDIT*** In the above thoughts I have wrongly assumed that we know, without further analysis, that $$(t_n)$$ is convergent ... Help will be appreciated ... ...

Peter
 

Attachments

  • Sohrab - Proposition 2.3.15 ... .png
    Sohrab - Proposition 2.3.15 ... .png
    26.9 KB · Views: 178
Last edited:
Physics news on Phys.org
Peter said:
Can someone please explain exactly how/why $$t_n \leq s_n \Longrightarrow \text{ lim sup } ( t_n ) \leq e$$ ... ... ?My thoughts so far are as follows:

$$t_n \leq s_n$$$$\Longrightarrow \lim_{ n \to \infty } t_n \leq \lim_{ n \to \infty } s_n$$ $$\Longrightarrow \lim_{ n \to \infty } t_n \leq e$$But ... how/why can we conclude that $$\text{ lim sup } ( t_n ) \leq e$$ ... ... ?
Slightly amend that to get

$$t_n \leqslant s_n$$

$$\Longrightarrow \limsup_{ n \to \infty } t_n \leqslant \limsup_{ n \to \infty } s_n$$

$$\Longrightarrow \limsup_{ n \to \infty } t_n \leqslant e$$

(because $\displaystyle\limsup_{ n \to \infty } s_n = \lim_{ n \to \infty } s_n = e$).
 
Opalg said:
Slightly amend that to get

$$t_n \leqslant s_n$$

$$\Longrightarrow \limsup_{ n \to \infty } t_n \leqslant \limsup_{ n \to \infty } s_n$$

$$\Longrightarrow \limsup_{ n \to \infty } t_n \leqslant e$$

(because $\displaystyle\limsup_{ n \to \infty } s_n = \lim_{ n \to \infty } s_n = e$).
Thanks Opalg ...

Reflecting on what you have written ...

Have to check things ... certainly did not know (could not find a Proposition) that $$t_n \leqslant s_n$$

$$\Longrightarrow \limsup_{ n \to \infty } t_n \leqslant \limsup_{ n \to \infty } s_n$$ ...Peter
 
Peter said:
Have to check things ... certainly did not know (could not find a Proposition) that $$t_n \leqslant s_n$$

$$\Longrightarrow \limsup_{ n \to \infty } t_n \leqslant \limsup_{ n \to \infty } s_n$$ ...
It's true, though! See if you can prove it yourself, using the definition of limsup.
 
Opalg said:
It's true, though! See if you can prove it yourself, using the definition of limsup.

Thanks for the help, Opalg ...

Yes, checked that out ... indeed basically follows from definition of lim sup ...

Thanks again

Peter
 

Similar threads

  • · Replies 2 ·
Replies
2
Views
2K
Replies
2
Views
2K
Replies
2
Views
2K
  • · Replies 2 ·
Replies
2
Views
1K
  • · Replies 2 ·
Replies
2
Views
2K
  • · Replies 4 ·
Replies
4
Views
2K
  • · Replies 3 ·
Replies
3
Views
2K
  • · Replies 2 ·
Replies
2
Views
2K
Replies
2
Views
2K
Replies
5
Views
2K