The Number e .... Sohrab Proposition 2.3.15 ....

  • Context: Undergrad 
  • Thread starter Thread starter Math Amateur
  • Start date Start date
Click For Summary
SUMMARY

The discussion centers on Proposition 2.3.15 from Houshang H. Sohrab's "Basic Real Analysis" (Second Edition), specifically regarding the proof that establishes the relationship between sequences \( t_n \) and \( s_n \). It is concluded that if \( t_n \leq s_n \) for sufficiently large \( n \), then \( \limsup_{n} t_n \leq \limsup_{n} s_n \). Given that \( \limsup_{n} s_n = \lim_{n} s_n = e \), it follows that \( \limsup_{n} t_n \leq e \). This logical progression clarifies the proof's validity.

PREREQUISITES
  • Understanding of limits and supremum in real analysis
  • Familiarity with sequences and series of real numbers
  • Knowledge of the properties of limits, specifically lim sup
  • Basic comprehension of mathematical proofs and notation
NEXT STEPS
  • Study the concept of lim sup in detail, focusing on its properties and applications
  • Review Chapter 2 of "Basic Real Analysis" by Houshang H. Sohrab for deeper insights
  • Explore examples of sequences where \( t_n \leq s_n \) to solidify understanding
  • Investigate other propositions in real analysis that utilize similar limit properties
USEFUL FOR

Students of real analysis, mathematicians, and educators seeking to deepen their understanding of limits and sequences, particularly in the context of Sohrab's work.

Math Amateur
Gold Member
MHB
Messages
3,920
Reaction score
48
TL;DR
Concerns a particular inequality in demonstrating the e = lim ( 1 + 1/n)^n ...
I am reading Houshang H. Sohrab's book: "Basic Real Analysis" (Second Edition).

I am focused on Chapter 2: Sequences and Series of Real Numbers ... ...

I need help with an aspect of the proof of Proposition 2.3.15 ...

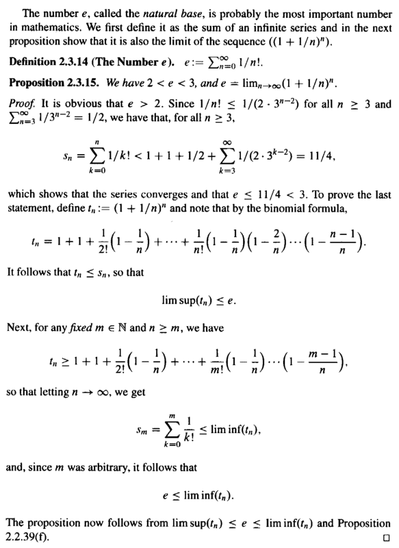
Proposition 2.3.15 and its proof read as follows:
Sohrab - Proposition 2.3.15 ... .png

In the above proof by Sohrab, we read the following:

" ... ... It follows that ##t_n \leq s_n## so that

##\text{ lim sup } ( t_n ) \leq e## ... ... "
Can someone please explain exactly how/why ##t_n \leq s_n \Longrightarrow \text{ lim sup } ( t_n ) \leq e## ... ... ?



Help will be appreciated ... ...

Peter
 
Physics news on Phys.org
Recall that if we have ##t_n \leq s_n## for all ##n## (sufficiently large), then ##\limsup_n t_n \leq \limsup_n s_n##.

But, we know that ##\limsup_n s_n = \lim_n s_n = e##, hence the result.
 
  • Like
Likes   Reactions: Math Amateur
Yes ... can now see that ...

Thanks ...

Peter
 
  • Like
Likes   Reactions: Nik_2213 and member 587159

Similar threads

Replies
4
Views
2K
Replies
2
Views
2K
  • · Replies 2 ·
Replies
2
Views
1K
Replies
2
Views
2K
  • · Replies 4 ·
Replies
4
Views
2K
Replies
5
Views
2K
  • · Replies 6 ·
Replies
6
Views
2K
  • · Replies 3 ·
Replies
3
Views
2K
Replies
2
Views
2K
Replies
2
Views
2K