Proposition 2.3.15: Understanding Sohrab's Basic Real Analysis Proof

  • Context: MHB 
  • Thread starter Thread starter Math Amateur
  • Start date Start date
Click For Summary
SUMMARY

The discussion centers on Proposition 2.3.15 from Houshang H. Sohrab's "Basic Real Analysis" (Second Edition), specifically regarding the proof's reliance on the conditions of lim sup and lim inf. The key point is that the inequalities $$\text{ lim sup } (t_n) \leq e \leq \text{ lim inf } (t_n)$$ imply equality, leading to the conclusion that $$\text{ lim } (t_n) = e$$. This clarification resolves the confusion about the necessity of strict equality from Proposition 2.2.39 (f) for the proof to hold.

PREREQUISITES
  • Understanding of limits, specifically lim sup and lim inf.
  • Familiarity with real analysis concepts as presented in "Basic Real Analysis" by Houshang H. Sohrab.
  • Knowledge of mathematical notation and proofs in the context of sequences and series.
  • Ability to interpret propositions and their implications in mathematical texts.
NEXT STEPS
  • Review Proposition 2.2.39 (f) in "Basic Real Analysis" for deeper insights into the proof structure.
  • Study the definitions and properties of lim sup and lim inf in real analysis.
  • Explore additional examples of sequences that illustrate the relationship between lim sup, lim inf, and convergence.
  • Investigate other propositions in Chapter 2 of Sohrab's book to enhance understanding of sequences and series.
USEFUL FOR

Students of real analysis, mathematicians focusing on sequence convergence, and educators teaching advanced calculus concepts will benefit from this discussion.

Math Amateur
Gold Member
MHB
Messages
3,920
Reaction score
48
I am reading Houshang H. Sohrab's book: "Basic Real Analysis" (Second Edition).

I am focused on Chapter 2: Sequences and Series of Real Numbers ... ...

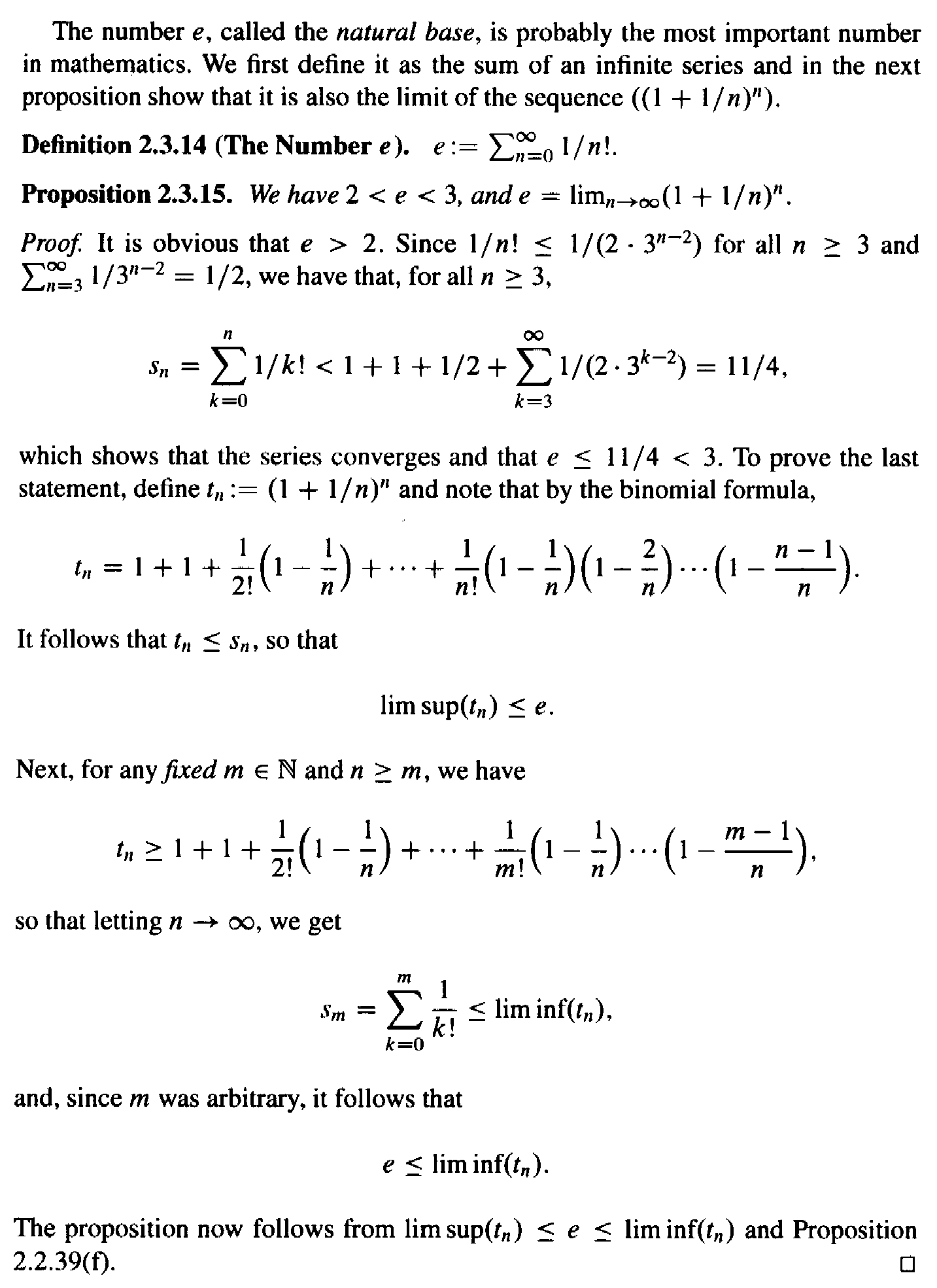
I need help with yet another aspect of the proof of Proposition 2.3.15 ...Proposition 2.3.15 and its proof read as follows:
View attachment 9073
At the end of the above proof by Sohrab we read the following:

" ... ... The proposition now follows from $$\text{ lim sup } (t_n) \leq e \leq \text{ lim inf } (t_n)$$ and Proposition 2.2.39 (f) ... ... "But ... as far as I can tell from Proposition 2.2.39 (f) we require $$\text{ lim sup } (t_n) = e = \text{ lim inf } (t_n)$$ ... in order to conclude $$\text{ lim } (t_n) = e$$ ...

... but we only have the condition $$\text{ lim sup } (t_n) \leq e \leq \text{ lim inf } (t_n)$$ ... ...

So ... how does the proposition 2..3.15 follow ...?

Can someone please clarify the situation above ...
Help will be appreciated ...

Peter
=========================================================================The above post refers to Proposition 2.2.39 ... so I am providing text of the same ... as follows ... :
View attachment 9074
Hope that helps ...

Peter
 

Attachments

  • Sohrab - Proposition 2.3.15 ... .png
    Sohrab - Proposition 2.3.15 ... .png
    26.9 KB · Views: 156
  • Sohrab - Proposition 2.2.39 ...  .png
    Sohrab - Proposition 2.2.39 ... .png
    34.2 KB · Views: 169
Physics news on Phys.org
Peter said:
At the end of the above proof by Sohrab we read the following:

" ... ... The proposition now follows from $$\text{ lim sup } (t_n) \leq e \leq \text{ lim inf } (t_n)$$ and Proposition 2.2.39 (f) ... ... "But ... as far as I can tell from Proposition 2.2.39 (f) we require $$\text{ lim sup } (t_n) = e = \text{ lim inf } (t_n)$$ ... in order to conclude $$\text{ lim } (t_n) = e$$ ...

... but we only have the condition $$\text{ lim sup } (t_n) \leq e \leq \text{ lim inf } (t_n)$$ ... ...

So ... how does the proposition 2..3.15 follow ...?
It is always true that $\liminf (t_n) \leqslant \limsup(t_n)$. So in the inequalities $ \limsup(t_n) \leqslant e \leqslant \liminf (t_n) \leqslant \limsup(t_n)$ the last term is the same as the first, and therefore there must be equality throughout.
 
Opalg said:
It is always true that $\liminf (t_n) \leqslant \limsup(t_n)$. So in the inequalities $ \limsup(t_n) \leqslant e \leqslant \liminf (t_n) \leqslant \limsup(t_n)$ the last term is the same as the first, and therefore there must be equality throughout.
Thanks for the help, Opalg ...

Peter
 

Similar threads

  • · Replies 2 ·
Replies
2
Views
2K
Replies
4
Views
2K
Replies
2
Views
2K
  • · Replies 2 ·
Replies
2
Views
1K
  • · Replies 6 ·
Replies
6
Views
2K
Replies
2
Views
2K
Replies
2
Views
2K
  • · Replies 4 ·
Replies
4
Views
2K
  • · Replies 3 ·
Replies
3
Views
2K
Replies
5
Views
2K