The pendulum is released from rest with θ = 30deg

Click For Summary

Homework Help Overview

The problem involves a pendulum released from rest at an angle of 30 degrees. Participants are tasked with deriving the equation of motion using the angle as the independent variable and determining the speed of the pendulum bob as a function of the angle.

Discussion Character

  • Exploratory, Conceptual clarification, Mathematical reasoning

Approaches and Questions Raised

  • Participants discuss the application of torque and energy conservation in deriving the equations of motion. Questions arise regarding the assumptions made about the direction of forces and the interpretation of terms like tangential acceleration.

Discussion Status

The discussion includes various interpretations of the problem setup and the equations involved. Some participants have provided insights into the relationships between angular motion and forces, while others express confusion about specific terms and their implications. There is no explicit consensus, but multiple lines of reasoning are being explored.

Contextual Notes

Participants note the absence of certain values, such as tension, and question the assumptions regarding the direction of motion and forces acting on the pendulum bob.

Alexanddros81
Messages
177
Reaction score
4

Homework Statement


13.54 The pentulum is released from rest with θ = 30deg. (a) Derive the equation of motion
using θ as the independent variable. (b) Determine the speed of the bob as a function of θ.
Fig P13_53.jpg


The solutions given in the textbok are a) ##\ddot θ = -4.905sinθ rad/s^2##
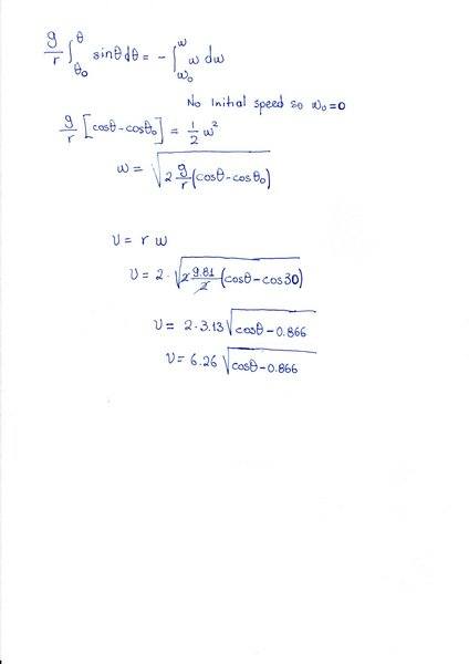
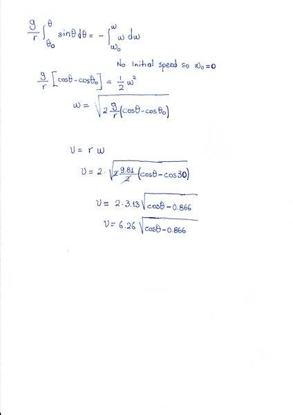
b) ##6.26\sqrt {cosθ - 0.866} m/s##

Homework Equations

The Attempt at a Solution



Pytels_Dynamics080.jpg
[/B]
I understand something is not correct.
I guess the positive direction for the bob now is to the left.
 
Physics news on Phys.org
Where did the 7.5 come from? You have not been given the tension, you have been given that the bob is released from rest.
 
part (a) think torque = I times dω/dt
part (b) think energy conservation.
 
Hi! After doing some research on the web I came up with the following solution (by an engineer)
I don't understand though why he took ##a_T## to be ##-rα##. Does it has to do with the
the tangential and radial axes sense?
He mentions ##F=ma_T## as an inertial force.

Pytels_Dynamics081.jpg


Pytels_Dynamics083.jpg
 
Alexanddros81 said:
took ##a_T## to be −rα
If you start with arc length = radius x arc angle then differentiate twice wrt time you will get this. The sign depends on your conventions. In vectors, ##\vec {a_T}=\vec r\times\ddot{\vec\theta}##.
You can get the second result (velocity) by integrating or by work conservation.
 
Alexanddros81 said:
Hi! After doing some research on the web I came up with the following solution (by an engineer)
I don't understand though why he took ##a_T## to be ##-rα##. Does it has to do with the
the tangential and radial axes sense?
He mentions ##F=ma_T## as an inertial force.

View attachment 212931

View attachment 212937
Your last result v = 6.26√(cosθ - cos30deg) is correct.
 

Similar threads

Replies
1
Views
6K
  • · Replies 12 ·
Replies
12
Views
4K
  • · Replies 2 ·
Replies
2
Views
6K
  • · Replies 6 ·
Replies
6
Views
5K
Replies
1
Views
2K
Replies
1
Views
4K
  • · Replies 7 ·
Replies
7
Views
2K
  • · Replies 1 ·
Replies
1
Views
2K
Replies
3
Views
2K
  • · Replies 1 ·
Replies
1
Views
3K