Thermal expansion coefficient calculation — where is my mistake?

Click For Summary

Discussion Overview

The discussion revolves around the calculation of the thermal expansion coefficient using the Van der Waals (VDW) state equation. Participants explore potential issues with unit conversions and the appropriate values to use in the calculations.

Discussion Character

  • Technical explanation, Homework-related

Main Points Raised

  • One participant expresses confusion over obtaining an illogical answer when calculating the thermal expansion coefficient and questions whether there is a problem with the units.
  • Another participant suggests that the specific volume should be expressed in m3/mol to be compatible with the units in the equation.
  • A further clarification indicates that the specific volume in m3/Kg would only be appropriate if multiplied by the molar mass, leading to units of Joule/mol.
  • A later reply confirms that the suggested unit adjustment resolved the initial confusion.

Areas of Agreement / Disagreement

Participants generally agree on the need for proper unit conversions, but the discussion does not resolve all potential issues related to the calculation of the thermal expansion coefficient.

Contextual Notes

Limitations include the initial confusion regarding unit compatibility and the lack of specific values used in the calculations, which may affect the clarity of the discussion.

ReuvenD10
Messages
8
Reaction score
1
Homework Statement
Get values of thermal expansion coefficient
Relevant Equations
below
Hello everyone,
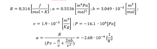
Once I got through the VDW state equation I came to the expression of the thermal expansion coefficient. When I place the values I get an illogical answer. Is there a problem with the units? (Please ignore the values)

Thanks.

1611562286615.png


This is the unit equation I get to and get stuck:
1611562244596.png
 

Attachments

  • 1611559701013.png
    1611559701013.png
    3.9 KB · Views: 227
Last edited by a moderator:
Physics news on Phys.org
You need to use a value of v in m3/mol.
 
  • Like
Likes   Reactions: Lnewqban
ReuvenD10 said:
Homework Statement:: Get values of thermal expansion coefficient
Relevant Equations:: below

Hello everyone,
Once I got through the VDW state equation I came to the expression of the thermal expansion coefficient. When I place the values I get an illogical answer. Is there a problem with the units? (Please ignore the values)

Thanks.

View attachment 276808

This is the unit equation I get to and get stuck:
View attachment 276807
That specific volume (##m^3/Kg##) would be compatible to be used in the members of summation of the denominator of that equation only if multiplied by the molar mass of the specific substance (##Kg/mol##); therefore, the units of v should be expressed in ##m^3/mol##, rather than ##m^3/Kg##.
The units of each member of summation of the denominator would then be Joule/mol.
 
thanks. it work.
 
  • Like
Likes   Reactions: Lnewqban

Similar threads

  • · Replies 11 ·
Replies
11
Views
3K
  • · Replies 9 ·
Replies
9
Views
4K
  • · Replies 17 ·
Replies
17
Views
5K
Replies
28
Views
2K
Replies
19
Views
7K
  • · Replies 2 ·
Replies
2
Views
2K
  • · Replies 7 ·
Replies
7
Views
1K
  • · Replies 4 ·
Replies
4
Views
4K
  • · Replies 6 ·
Replies
6
Views
3K
  • · Replies 4 ·
Replies
4
Views
2K