Three phase total power consumed

Click For Summary

Discussion Overview

The discussion revolves around the calculation of total power consumed in a three-phase system. Participants are examining the correctness of a specific calculation and addressing discrepancies between the user's results and the expected correct answer. The scope includes technical reasoning and mathematical evaluation related to electrical engineering concepts.

Discussion Character

  • Technical explanation
  • Mathematical reasoning
  • Debate/contested

Main Points Raised

  • One participant expresses confidence in their calculations but notes a mismatch with the correct answer, indicating a potential error in their work.
  • Another participant points out difficulties in interpreting the original calculations due to unclear images and suggests typing out the work for clarity.
  • A participant agrees with the suggestion to improve legibility and emphasizes the importance of formatting equations properly using LaTeX.
  • One participant observes that to convert negative arguments to positive, one should add 360 degrees instead of 180, although this is not confirmed as a definitive correction.
  • Another participant claims to have identified specific errors in the calculations, particularly regarding the argument of Ib and the calculation of Ir, suggesting that Ir is significantly different from what was initially presented.
  • A later reply reiterates the need to recalculate and emphasizes that the power calculation involves the real part of the sum of products of voltages and the conjugates of currents.

Areas of Agreement / Disagreement

Participants do not reach a consensus on the correctness of the calculations, with multiple competing views on the errors present in the original work and the methods for correcting them.

Contextual Notes

There are limitations in the clarity of the original calculations due to the use of handwritten images, which may hinder accurate assessment. Additionally, there are unresolved mathematical steps regarding the calculations of currents and voltages.

Butterfly41398
Messages
8
Reaction score
0
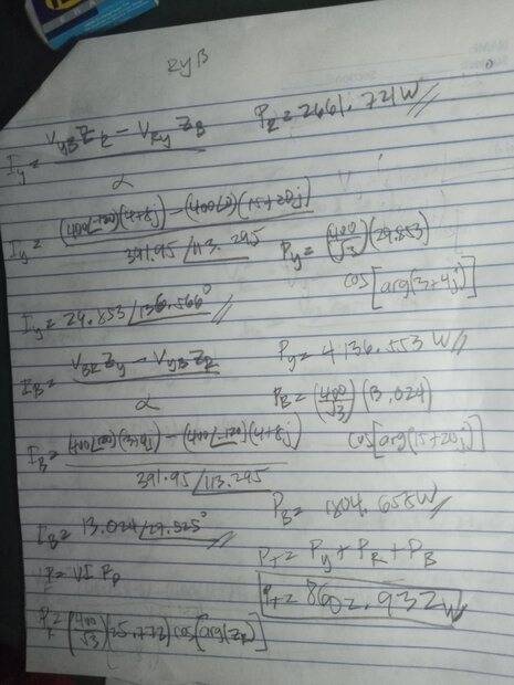
Summary:: I don't seem to see any problem with my work. But my final answer does not match the correct answer. (In number 3)

Here's my work
 

Attachments

  • 20211113_135006_mfnr.jpg
    20211113_135006_mfnr.jpg
    42.6 KB · Views: 161
  • 20211113_134955_mfnr.jpg
    20211113_134955_mfnr.jpg
    40.4 KB · Views: 145
  • Screenshot_20211113-140202_WPS Office Lite.jpg
    Screenshot_20211113-140202_WPS Office Lite.jpg
    57.7 KB · Views: 157
Physics news on Phys.org
@Butterfly41398 , it's very difficult to make out the contents of your images (the handwritten workings), so I can't really help spot any errors. You'll have to clean up the images to make them useful, or better yet, type out the work so that others can quote it in replies.
 
  • Like
Likes   Reactions: PhDeezNutz
Butterfly41398 said:
I don't seem to see any problem with my work.
As mentioned, it's best if you type your work into the forum to make it more legible. Please see the LaTeX Guide link below the Edit window for more information on how to format math equations at PF. Thanks.
 
  • Like
Likes   Reactions: PhDeezNutz
I agree with the berkeman, of course. However, I manage to read your calculation. I still have to recalculate, but at first glance, I have a general observation: to convert the arguments from negative to positive you have to add 360 degrees and not 180.
 
In my calculation Iy is correct, Ib is correct except the argument has to be 27.525 instead of 29.525. However Ir is quite different. Ir=28.406<-69.1127.
 
Babadag said:
I agree with the berkeman, of course. However, I manage to read your calculation. I still have to recalculate, but at first glance, I have a general observation: to convert the arguments from negative to positive you have to add 360 degrees and not 180.
Following your entire calculation this it is not an issue. The only mistake it is wrong calculation of IR.
The power it is the real part of the sum of products: VR*conjugate(IR)+VY*conjugate(IY)+VB*conjugate(IB) where
VR=IR*ZR ;VY=IY*ZY;VB=IB*ZB
 

Similar threads

  • · Replies 7 ·
Replies
7
Views
3K
  • · Replies 4 ·
Replies
4
Views
3K
  • · Replies 4 ·
Replies
4
Views
2K
Replies
3
Views
3K
  • · Replies 13 ·
Replies
13
Views
3K
  • · Replies 2 ·
Replies
2
Views
2K
  • · Replies 3 ·
Replies
3
Views
995
  • · Replies 3 ·
Replies
3
Views
2K
  • · Replies 1 ·
Replies
1
Views
4K
Replies
13
Views
4K