To find the Acceleration of a Pentagonal metallic plate

Click For Summary

Homework Help Overview

The discussion revolves around finding the acceleration of a pentagonal metallic plate by first determining the resistance of the plate, which is influenced by the current flowing through it. Participants explore the complexities of current distribution and resistance calculations in the context of electrical circuits and forces acting on current-carrying conductors.

Discussion Character

  • Exploratory, Conceptual clarification, Mathematical reasoning, Assumption checking

Approaches and Questions Raised

  • Participants discuss the need to understand the current flow through the pentagonal plate and how to calculate its resistance. There are suggestions to simplify the problem by breaking the plate into infinitesimal strips and assuming uniform current through each strip. Questions arise regarding the application of integration and the assumptions made about the magnetic field's orientation.

Discussion Status

The discussion is active, with participants questioning the assumptions made about current flow and resistance. Some guidance has been provided regarding the use of integration and the concept of resistances in series. However, there is no explicit consensus on the correct approach to calculating the force on the plate or the implications of the magnetic field's orientation.

Contextual Notes

Participants note potential discrepancies in the solution manual regarding values for magnetic field strength and resistivity. The discussion also highlights the complexity of calculating effective resistance due to the geometry of the plate and the nature of current flow.

Amitkumarr
Messages
20
Reaction score
4
Homework Statement
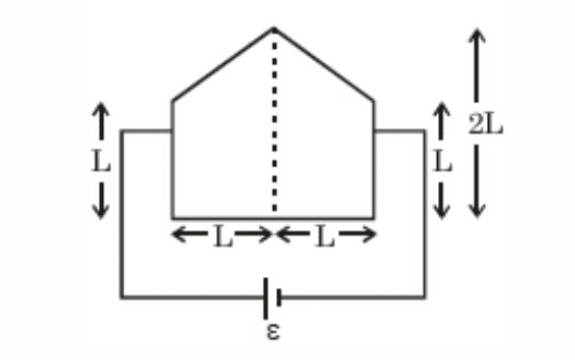
A metallic plate is of the shape of an pentagon. Its thickness is d. It is kept in a uniform magnetic field B perpendicular to the plate as shown. The ends of the plate are connected to a battery of emf ɛ. If the density of the material of the plate is r, find its acceleration (in m/s^2). The surface on which plate rests is smooth and connecting wires do not exert any force on the plate. The battery is ideal. Resistivity of material is p. Take B =0.77 T, ɛ = 2.7 V, p = 10^-3 ohm m, r = 2 x 10^3
kg/m^3, D = 1 mm, L = 1 m. [Take : ln2 = 0.693]
Relevant Equations
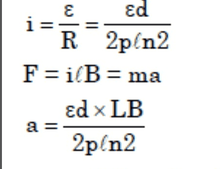
Current, I=ɛ/R
where ɛ= E.M.F of the cell,R= Resistance
R=pL/A where p=Resistivity of the material,l=length,A=Area
Force,F=ILB=ma where B=Magnetic field
a=Acceleration
In order to find force( and hence the Acceleration) on the Pentagonal plate,we must find the Resistance of the plate.But to find the resistance we must know how the current is flowing through the given plate(see attached figure).

My question is how is the current flowing through the Pentagonal plates and further how to proceed to find resistance?According to me,we should be using integration,if so how to take the elements?
 

Attachments

  • Screenshot_20200707-182357~2.png
    Screenshot_20200707-182357~2.png
    10.5 KB · Views: 262
  • Screenshot_20200707-182357~3.png
    Screenshot_20200707-182357~3.png
    62.8 KB · Views: 259
Physics news on Phys.org
Amitkumarr said:
My question is how is the current flowing through the Pentagonal plates and further how to proceed to find resistance?According to me,we should be using integration,if so how to take the elements?
That's a good question. The pattern of current would certainly be complicated. So, it will not be possible to calculate the actual effective resistance. However, as an academic exercise, you are probably meant to assume a simplification where you break the plate into infinitesimal strips and assume that the current is uniform through each strip.

So, you need to think about how to choose the strips. Integration is a summation. You know that resistances in series add.
 
TSny said:
That's a good question. The pattern of current would certainly be complicated. So, it will not be possible to calculate the actual effective resistance. However, as an academic exercise, you are probably meant to assume a simplification where you break the plate into infinitesimal strips and assume that the current is uniform through each strip.

So, you need to think about how to choose the strips. Integration is a summation. You know that resistances in series add.
If we take vertical strips( like in the attached figure d=width of plates), resistance for first half part of the Pentagonal plate comes out be R1=(p×ln2)/d and same for the second half part.
So,total resistance,R=2×R1= 2×(p×ln2)/d

But,how do we find the force on the plate using the general expression for a current carrying conductor,F=ILB ?What about forces on the upper triangular portion of the pentagon?
I just found that in my solution manual(see attached figure),they have calculated Net force as F=I×L×B=(ɛ÷R)×L×B where R is same as calculated above.How they have done so?
 

Attachments

  • Screenshot_20200707-203423~3.png
    Screenshot_20200707-203423~3.png
    21.9 KB · Views: 252
  • IMG_20200707_204249894~2.jpg
    IMG_20200707_204249894~2.jpg
    75.5 KB · Views: 264
Amitkumarr said:
But,how do we find the force on the plate using the general expression for a current carrying conductor,F=ILB ?What about forces on the upper triangular portion of the pentagon?
I just found that in my solution manual(see attached figure),they have calculated Net force as F=I×L×B=(ɛ÷R)×L×B where R is same as calculated above.How they have done so?

Consider the force dF on one of the vertical strips. Assume the current through the strip is horizontal. Write an expression for dF.
 
TSny said:
Consider the force dF on one of the vertical strips. Assume the current through the strip is horizontal. Write an expression for dF.
One clarification,we are assuming magnetic field to be perpendicular to plates and in the plane of Pentagonal plate and not perpendicular to it's plane,right?If, we consider the current through the strip to be horizontal,we will have to take length of strip as x+L because L and B needs to be perpendicular to each other(in the F=ILB expression) and magnetic field is given parallel to the plates i.e Perpendicular to strip and in the plane of strip.So, the expression should become dF=I×(x+L)×B . Then,how will we proceed?
Could you please write the complete expression?
 
I think B is perpendicular to the plane of the pentagon.
 
  • Like
Likes   Reactions: Amitkumarr
Thanks,I finally realized that the solution given was wrong as it takes different values of B and p. The correct expression for force will be F=(ɛdlB)÷pln2 and so the correct answer is a=1 m/s^2.
 
  • Like
Likes   Reactions: TSny

Similar threads

Replies
21
Views
2K
Replies
39
Views
6K
  • · Replies 10 ·
Replies
10
Views
2K
  • · Replies 10 ·
Replies
10
Views
1K
  • · Replies 8 ·
Replies
8
Views
2K
  • · Replies 5 ·
Replies
5
Views
2K
  • · Replies 26 ·
Replies
26
Views
3K
  • · Replies 7 ·
Replies
7
Views
3K
  • · Replies 1 ·
Replies
1
Views
2K
Replies
3
Views
2K