biggercheese
- 9
- 1
Hi all. Let me preface this by saying that I have no formal education in physics so I apologize if there is any information that I left out. Please comment with questions and I will try to answer them to the best of my ability.
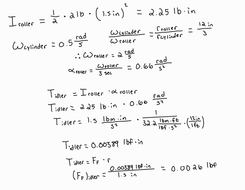
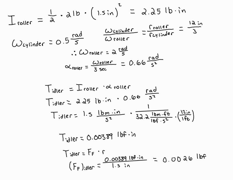
The cylinder has a mass of 30 lb, is 6 feet long, and has a diameter of 12 inches. It's weight is distributed across two rollers, a powered roller and an idle roller. Each roller has two wheels of 3-inch diameter. One of the wheels on the powered roller will be responsible for transmitting the torque required to rotate the pole.
I began by assuming that the weight was evenly distributed across the two rollers. This allowed me to simplify my free body diagram to just the powered roller:
The forces present are the normal forces of the wheels acting on the cylinder and the friction between the wheels and the cylinder. Here is where I begin to lose confidence in my approach. My initial thought is that since Friction Force= static friction coefficient * normal force I could omit the frictional component during the static analysis. Once i find my normal forces I can use it to find the friction force. I would then use my friction force to find the torque: Torque at wheel A = Friction Force at A * radius of wheel A
I am just looking for a ballpark torque value for this project but I am not sure that my train of thought is the correct approach
The cylinder has a mass of 30 lb, is 6 feet long, and has a diameter of 12 inches. It's weight is distributed across two rollers, a powered roller and an idle roller. Each roller has two wheels of 3-inch diameter. One of the wheels on the powered roller will be responsible for transmitting the torque required to rotate the pole.
I began by assuming that the weight was evenly distributed across the two rollers. This allowed me to simplify my free body diagram to just the powered roller:
The forces present are the normal forces of the wheels acting on the cylinder and the friction between the wheels and the cylinder. Here is where I begin to lose confidence in my approach. My initial thought is that since Friction Force= static friction coefficient * normal force I could omit the frictional component during the static analysis. Once i find my normal forces I can use it to find the friction force. I would then use my friction force to find the torque: Torque at wheel A = Friction Force at A * radius of wheel A
I am just looking for a ballpark torque value for this project but I am not sure that my train of thought is the correct approach
