Trig Integral Homework: Solving \int_0^{π/8}sin^2(x)cos^2(x)

  • Thread starter Thread starter opus
  • Start date Start date
  • Tags Tags
    Integral Trig
Click For Summary

Homework Help Overview

The discussion revolves around evaluating the integral \(\int_0^{\pi/8} \sin^2(x) \cos^2(x) \, dx\), which falls under the subject area of calculus, specifically integral calculus involving trigonometric functions.

Discussion Character

  • Exploratory, Mathematical reasoning, Assumption checking

Approaches and Questions Raised

  • Participants discuss various approaches to solving the integral, including the use of trigonometric identities such as \(\sin(2x) = 2 \sin(x) \cos(x)\) and power reduction techniques. There are questions about the computations involved and the application of suggested methods.

Discussion Status

The discussion includes attempts to clarify computational errors and explore different methods. Some participants express uncertainty about how to apply suggestions made by others, while others reflect on their own computations. There is no explicit consensus on a single method being the correct one.

Contextual Notes

Participants note that the original poster's attached work is difficult to read, which may hinder the discussion. There is also mention of the need to simplify expressions and the importance of understanding trigonometric identities.

opus
Gold Member
Messages
717
Reaction score
131

Homework Statement


##\int_0^{π/8}sin^2(x)cos^2(x)##

Homework Equations

The Attempt at a Solution


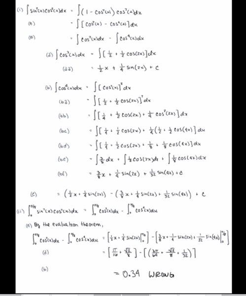
Please see my attached work to see the train of thought. I've tried this thing about 100 times and still can't get the correct solution. I don't know if it's in the anti derivative evaluations of step (i) or the computation in step (ii)
 

Attachments

  • Screen Shot 2019-01-14 at 11.17.35 AM.png
    Screen Shot 2019-01-14 at 11.17.35 AM.png
    18 KB · Views: 351
Physics news on Phys.org
I'm sorry to inform you that most members won't bother reading attached images. Since the image is hard to read (at least for me it is), all I can do is suggest you an easier appproach:

Observe that ##\sin(2x) = 2 \sin(x) \cos(x)##

Use this in your first step and your integral will boil down to (after a substitution) something like ##\int \sin^2(x) dx## which is a standard integral to solve.
 
  • Like
Likes   Reactions: opus
Ok thanks!
 
Looks like it was computational. Marking as solved.
 
opus said:
Looks like it was computational. Marking as solved.

Did you find the correct answer using your own method/my method?
 
What I did was just redo the computations in the evaluation theorem. Still trying to see how to use your suggestion in the first step.
 
opus said:
What I did was just redo the computations in the evaluation theorem. Still trying to see how to use your suggestion in the first step.

##\sin^2 (x) \cos^2(x) = 1/4 \sin^2(2x)##
 
  • Like
Likes   Reactions: opus
Are you squaring both sides?
 
opus said:
Are you squaring both sides?

##2\sin(x) \cos(x) = \sin(2x) \implies \sin(x) \cos(x) = 1/2 \sin(2x)##

and then indeed I square both sides.
 
  • Like
Likes   Reactions: opus
  • #10
Are you working to use the power reduction on the sin then?
 
  • #11
opus said:
Are you working to use the power reduction on the sin then?

I use the standard identity ##\sin(2x) = 2\sin(x) \sin(x)##

This easily follows from ##\sin(a+b) = \sin(a) \cos(b) + \sin(b) \cos(a)## which is also a standard trig identity.

An easy proof can be given by writing down both sides of

$$e^{i(a+b)} = e^{ia}e^{ib}$$ using ##e^{ix} = \cos x + i \sin x## and comparing imaginary parts.

Knowing your trig identities can save a lot of time in such problems. Worth memorising imo.
 
  • Like
Likes   Reactions: opus
  • #12
Thats a good idea. I've been mainly just doing what I can to drop the powers and get them into sums or differences.
 
  • Like
Likes   Reactions: member 587159

Similar threads

  • · Replies 9 ·
Replies
9
Views
2K
  • · Replies 5 ·
Replies
5
Views
6K
  • · Replies 3 ·
Replies
3
Views
3K
Replies
3
Views
2K
  • · Replies 105 ·
4
Replies
105
Views
12K
Replies
7
Views
3K
  • · Replies 2 ·
Replies
2
Views
3K
  • · Replies 7 ·
Replies
7
Views
3K
  • · Replies 2 ·
Replies
2
Views
3K
  • · Replies 3 ·
Replies
3
Views
2K