Trigonometric function (Mechanics-Landau)

Click For Summary

Homework Help Overview

The discussion revolves around a problem from "Mechanics" by Lev D. Landau & E. M. Lifshitz, specifically concerning the disintegration of particles and the calculation of the angle θ, defined as θ = θ1 + θ2. Participants are exploring the conditions under which the angle can be determined based on the velocities involved in the particle interactions.

Discussion Character

  • Exploratory, Assumption checking, Problem interpretation

Approaches and Questions Raised

  • Participants are attempting to calculate the extrema of the tangent of θ and are discussing the ranges of θ based on the relative magnitudes of V, v10, and v20. There are questions about the full problem statement and the specifics of the figure referenced. Some participants are also questioning the definitions and assumptions related to the particles involved and their energy before decay.

Discussion Status

The discussion is active, with participants sharing their attempts to derive expressions and calculate extrema. Some have noted discrepancies in their results and are seeking clarification on the algebra involved. There is a recognition of the complexity of the problem, and while some participants have indicated they have solved it, others are still seeking guidance and clarification.

Contextual Notes

There are indications that the problem may lack sufficient detail for all participants, as some have requested the full problem statement. Additionally, the notation used for angles has caused confusion, leading to discussions about the implications of different definitions. The context of the problem involves analyzing particle decay in different reference frames, which adds layers of complexity to the discussion.

physicophysiology
Messages
12
Reaction score
3
<Moderator's note: Moved from a technical forum and thus no template.>

Mechanics by Lev D. Landau & E. M. Lifshitz
Chapter 4 Collisions between particles
§16. Disintegration of particles
Problem 3
§16.1.png

The angle θ = θ1 + θ2
It is simplest to calculate the tangent of θ.
A consideration of the extrema of the resulting expression gives the following ranges of θ, depending on the relative magnitudes of V, v10 and v20 (for definiteness, we assume v20 > v10):
0 < θ < π if v10 < V < v20,
π-θ10 < θ < π if V < v10,
0 < θ < θ10 if V > v20.

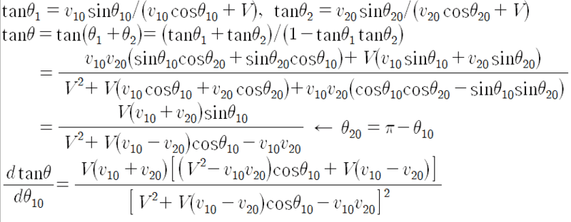
So I calculated the tangent of θ and derivative of it
캡처.PNG

But I can not calculate the extrema, thus I can not solve it...

How to do calculate the extrema?

In addition,
How to do calculate the following?
sinθ10 = V(v10 + v20)/(V2 + v10v20)
 

Attachments

  • §16.1.png
    §16.1.png
    3.6 KB · Views: 1,385
  • 캡처.PNG
    캡처.PNG
    30.3 KB · Views: 1,187
Last edited:
Physics news on Phys.org
physicophysiology said:
§16. Disintegration of particles
Problem 3
Please state the full problem statement. Not everybody has all books that have exercises in them.
 
Last edited:
BvU said:
Please state the full problem statement. Not everybody has all books that have exercises in tehm.
The problem is
Determine the range of possible values of the angle θ following the figure.
 
Can't be the full problem statement. And: there is no ##\theta## in the fgure.

Homework Statement

Homework Equations

The Attempt at a Solution

 
BvU said:
Can't be the full problem statement. And: there is no ##\theta## in the fgure.
in description θ = θ1 + θ2
and θ10 + θ20 = π
 
What particle are we looking at ? What's its energy before decay ? What are the decay products ? etc etc etc
 
BvU said:
What particle are we looking at ? What's its energy before decay ? What are the decay products ? etc etc etc
In C system, total momentum is 0
it is just m1v10+m2v20 = 0

In L system, v1=v10+V, v2=v20+V, and total momentum is not 0

The particles we looking at are in L system.
 
Last edited:
physicophysiology said:
<Moderator's note: Moved from a technical forum and thus no template.>

Mechanics by Lev D. Landau & E. M. Lifshitz
Chapter 4 Collisions between particles
§16. Disintegration of particles
Problem 3
View attachment 236072
The angle θ = θ1 + θ2
It is simplest to calculate the tangent of θ.
A consideration of the extrema of the resulting expression gives the following ranges of θ, depending on the relative magnitudes of V, v10 and v20 (for definiteness, we assume v20 > v10):
0 < θ < π if v10 < V < v20,
π-θ10 < θ < π if V < v10,
0 < θ < θ10 if V > v20.

So I calculated the tangent of θ and derivative of it
View attachment 236073
But I can not calculate the extrema, thus I can not solve it...

How to do calculate the extrema?

In addition,
How to do calculate the following?
sinθ10 = V(v10 + v20)/(V2 + v10v20)

To get the extrema you need to solve for ##\theta_{10}## from ##d \tan(\theta)/ d \theta_{10} = 0##. I have not checked your algebra, but assuming your final expression is correct, this condition simplifies to
$$ (V^2 - v_{10} v_{20}) \cos \theta_{10} +V(v_{10} - v_{20}) = 0$$ You can express the answer in terms of ##\arccos \theta_{10}##.

Note added in edit: When I do the question (using a computer algebra program) I get an expression for ##\tan \theta## much different from yours, and my derivative is much more complicated than yours. My equation for the max/min is a quadratic equation in ##\cos \theta_{10}##, so will have two roots, one for the minimum and the other for the maximum.

BTW: please try to avoid typesetting using the "[S UB]" and "[/S UB]" commands; it is much easier, faster and prettier to just use LaTeX, which comes pre-loaded in PF, and which I used for my answer above.
 
Last edited:
Ray Vickson said:
To get the extrema you need to solve for ##\theta_{10}## from ##d \tan(\theta)/ d \theta_{10} = 0##. I have not checked your algebra, but assuming your final expression is correct, this condition simplifies to
$$ (V^2 - v_{10} v_{20}) \cos \theta_{10} +V(v_{10} - v_{20}) = 0$$ You can express the answer in terms of ##\arccos \theta_{10}##.

Note added in edit: When I do the question (using a computer algebra program) I get an expression for ##\tan \theta## much different from yours, and my derivative is much more complicated than yours. My equation for the max/min is a quadratic equation in ##\cos \theta_{10}##, so will have two roots, one for the minimum and the other for the maximum.

BTW: please try to avoid typesetting using the "[S UB]" and "[/S UB]" commands; it is much easier, faster and prettier to just use LaTeX, which comes pre-loaded in PF, and which I used for my answer above.

What's your tanθ?
I also used algebra program but the result is same as my calculation
 
  • #10
physicophysiology said:
What's your tanθ?
I also used algebra program but the result is same as my calculation

Sorry: you are correct! I changed the notation but neglected to change the equation for the angle ##\theta##. When I correct that error, I end up getting exactly the same result as you.

Therefore, there is a single root for ##\cos(\theta_{10})##, but two values for ##\theta_{10}## in the interval ##(0,2 \pi)##. These correspond to the two extrema of ##\tan (\theta)##, the max and the min.
 
Last edited:
  • #11
Ray Vickson said:
Sorry: you are correct! I changed the notation but neglected to change the equation for the angle ##\theta##. When I correct that error, I end up getting exactly the same result as you.

Therefore, there is a single root for ##\cos(\theta_{10})##, but two values for ##\theta_{10}## in the interval ##(0,2 \pi)##. These correspond to the two extrema of ##\tan (\theta)##, the max and the min.
How to calculate the extrema?
for example, When v10 < V < v20
캡처.PNG

From d(tanθ)/dθ10 < 0, how can get the solution 0 < θ < π ?
I can get it only when V2 = v10v20
 

Attachments

  • 캡처.PNG
    캡처.PNG
    26.2 KB · Views: 794
  • #12
I have just solved it completely thanks everyone
 
  • Like
Likes   Reactions: BvU
  • #13
physicophysiology said:
I have just solved it completely thanks everyone
Hi, can I ask you how you solved the problem? I got stuck just the way you did in the posts above.
 
  • #14
emaz said:
Hi, can I ask you how you solved the problem? I got stuck just the way you did in the posts above.
I solved it! I'll copy and paste my solution, which could be useful in case someone comes across this thread.

It would have been much easier if the book had given a different name to the angle ##\theta_{0}##. In fact, it is not to be intended as the same angle as the one introduced by the book in prior graphical constructions and problems. Hence, even if the problem is conceptually very simple, this might create confusion.
For the sake of completion, to bring this post to an end, I shall add some details for the solution (also to try and redeem myself from some careless mistakes :) ).
The function we have to analyze is:
$$ \begin{align}\tan{\theta} = \frac {(v_{10}+v_{20})V\sin{\theta_{0}}}{V^2+\left(v_{10}-v_{20} \right)V\cos{\theta_0 - v_{10} v_{20} }} \nonumber\end{align}$$
or equivalently:
$$ \begin{align}\cot{\theta} = \frac {V^2+\left(v_{10}-v_{20} \right)V\cos{\theta_0 - v_{10} v_{20} }}{(v_{10}+v_{20})V\sin{\theta_{0}}} \nonumber\end{align}$$ where ##\theta_{0} \in \left[0,\pi \right]##, ##V \geq 0##.

In order to find the extrema, I took the derivative with respect to ##\theta_{0}## and found the expression:
$$ \begin{align} \frac {\partial\cot{\theta}} {\partial\theta_{0}} = \frac {(-v_{10}+v_{20})V^2-V\cos\theta_{0}\left[V^2-v_{10}v_{20}\right] }{(v_{10}+v_{20})V^2\sin^2\theta_{0}} \nonumber\end{align}$$
By setting the result to 0 one gets: $$ \begin{align} \cos\theta_{0}=\frac{(v_{20}-v_{10})V}{V^2-v_{10}v_{20}} \nonumber\end{align}$$

One should notice that the formula ## \begin{align} \cos\theta_{0}=\frac{(v_{20}-v_{10})V}{V^2-v_{10}v_{20}} \nonumber\end{align} ## holds only when the cosine obviously lies in the interval ##\left[-1,1\right]##; after some calculations, one finds that this happens when ##V \geq v_{20} ~\text{or}~ V\leq v_{10}##, meaning that when ##v_{10}<V<v_{20}## the derivative of ##\cot{\theta}## does not change sign.
Moreover, one could calculate the derivative of the cotangent with respect to ##V## and find the expression:
$$ \begin{align} \frac {\partial\cot{\theta}} {\partial V} = \frac { V^2+v_{10}v_{20} } { (v_{10}+v_{20})V^2\sin\theta_{0} } \nonumber\end{align}$$
which is positive for all values of ##V##.
This is why ##\cot{\theta}## may assume all the values between ##0## and ##\pi## when ##v_{10}<V<v_{20}##, because ## \frac {\partial\cot{\theta}} {\partial\theta_{0}}\neq 0## and ## \frac {\partial\cot{\theta}} {\partial V} \neq 0## ##\forall ~V, \theta_{0}## in that interval and it is easy to see that if ##V## is kept constant and ##\theta_{0}## is varied between 0 and ##\pi##, ##\cot\theta## spans the interval ##\left]-\infty,+\infty \right[##; similarly, if ##\theta_{0}## is kept constant and ##V## is varied between 0 and +##\infty##, ##\cot \theta## spans the interval ##\left]-\infty,+\infty \right[##.
When ##V \leq v_{10}##, it is easy to see that ##\cot{\theta}## has a maximum value. In fact, ## \lim_{\theta_{0} \rightarrow 0^+} {\cot(x)} = -\infty##, ##\lim_{\theta_{0} \rightarrow \pi^-} {\cot(x)} = -\infty## and the maximum value of the cotangent is reached when:
$$ \begin{align} \cos\theta_{0}=\frac{(v_{20}-v_{10})V}{V^2-v_{10}v_{20}} \nonumber\end{align}$$
The calculation of the maximum value leads to:
$$ \begin{align} \cot{\theta} &= \frac {V^2+\left(v_{10}-v_{20} \right)V\cos{\theta_0 - v_{10} v_{20} }}{(v_{10}+v_{20})V\sin{\theta_{0}}}= \nonumber \\
\dots &= \frac{v_{20}-v_{10}}{v_{20}+v_{10}} \frac{ \sin{\theta_{0}} }{\cos{\theta_{0}}}= \dots \nonumber \\
&=-\frac{\sqrt{\left( V^2-v_{10}v_{20}\right)^2-\left(v_{20}-v_{10}\right)^2 V^2}}{\left( v_{10}+v_{20}\right)V } \nonumber \end{align}$$
Then, after transforming the cotangent into a sine, one gets:$$ \begin{align} \sin\theta=\frac{(v_{20}+v_{10})V}{V^2+v_{10}v_{20}} \nonumber\end{align}$$ If we put: $$ \begin{align} \alpha=\sin^{-1}{\left(\frac{(v_{20}+v_{10})V}{V^2+v_{10}v_{20}}\right)} \nonumber\end{align}$$
then, in the interval where ##V\leq v_{10}##, we have the following ranges for ##\theta##: ##\pi-\alpha \leq \theta \leq \pi##.
Similarly, when ##V \geq v_{20}##, it is easy to see that ##\cot{\theta}## has a minimum value. In fact, ## \lim_{\theta_{0} \rightarrow 0^+} {\cot(x)} = +\infty##, ##\lim_{\theta_{0} \rightarrow \pi^-} {\cot(x)} = +\infty## and the minimum value of the cotangent is reached when ##\theta=\alpha##. In this case the ranges for ##\theta## are: ##0 \leq \theta \leq \alpha## (the equality ##\theta=0## is satisfied only when ##V \rightarrow +\infty##).
To summarize:

$$ \begin{align} &\text{if}~~ v_{10}<V<v_{20} \rightarrow 0<\theta<\pi \nonumber \\
\nonumber \\
&\text{if}~~ V\leq v_{10} \rightarrow \pi-\alpha \leq \theta \leq \pi \nonumber \\
\nonumber \\
&\text{if}~~ V\geq v_{20} \rightarrow 0\leq\theta\leq\alpha \nonumber\end{align} $$
where $$ \begin{align} \alpha=\sin^{-1}{\left(\frac{(v_{20}+v_{10})V}{V^2+v_{10}v_{20}}\right)} \nonumber\end{align}$$
 
Last edited:
  • Informative
  • Like
Likes   Reactions: madscientist_93 and yucheng

Similar threads

  • · Replies 2 ·
Replies
2
Views
2K
  • · Replies 6 ·
Replies
6
Views
2K
  • · Replies 3 ·
Replies
3
Views
4K
  • · Replies 1 ·
Replies
1
Views
2K
  • · Replies 3 ·
Replies
3
Views
2K
  • · Replies 3 ·
Replies
3
Views
2K
Replies
1
Views
2K
  • · Replies 0 ·
Replies
0
Views
3K
  • · Replies 3 ·
Replies
3
Views
2K
Replies
3
Views
3K