Trouble with negative sign in this Potential Difference problem

Click For Summary

Homework Help Overview

The discussion revolves around understanding the potential difference in an electric field context, specifically addressing the implications of negative signs in the equations governing electric potential and field strength.

Discussion Character

  • Conceptual clarification, Assumption checking, Mathematical reasoning

Approaches and Questions Raised

  • Participants explore the relationship between electric field strength and potential difference, questioning how negative signs are handled in equations. There is a focus on the definitions of potential difference and the interpretation of variables used in the equations.

Discussion Status

Some participants have provided insights into the definitions of potential difference and the importance of consistent variable usage. There is an ongoing exploration of the implications of these definitions on the calculations being performed, with no explicit consensus reached yet.

Contextual Notes

There are indications of confusion arising from mixing different notations and definitions for potential difference, which may affect the clarity of the problem-solving process. Participants are also addressing potential errors in the representation of path elements in the context of integration.

guyvsdcsniper
Messages
264
Reaction score
37
Homework Statement
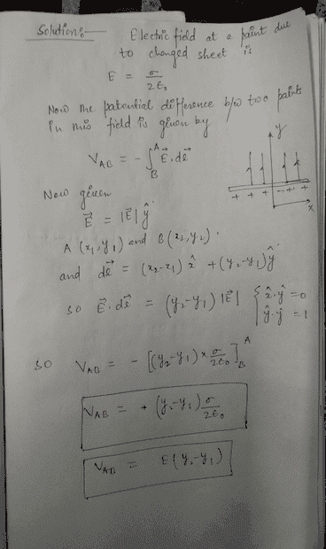
Let A=(x1,y1) and B=(x2,y2) be two points near and on the same side of a positively charged sheet with a uniform surface charge density. The electric field E⃗ due to such a charged sheet has the same magnitude everywhere and points away from the sheet, as shown in
Relevant Equations
V= -E*ds
So I know that E = -ΔV/Δs. If I wanted to solve for change in potential I could rearrange this equation and get Δ = -E*ds. With that information I believe I can solve the problem below. But in both solutions provided below, the negative sign goes away. Now I know I can pull the E out because it is uniform. Mylab does not go into detail on why the negative goes away. The hand written work includes the negative up until the 2nd to last step and I don't see how they got rid of it.

Any help with why the negative goes away?

FOrumhelp.png
Screen Shot 2021-10-08 at 7.29.47 AM.png
 
Physics news on Phys.org
Hi,

You have a problem when you use 1,2 and A,B all together. Pick one of these two sets and use it consistently.
 
quittingthecult said:
So I know that E = -ΔV/Δs
Some thoughts…

You are asked to find ##V_{AB}## which is defined as ##V_A – V_B##. We can interpret this as the potential of A relative to B. (In the diagram shown, we expect this to be a positive value because point A is nearer to the positively charged sheet than point B.)

But (I think) your use of ##ΔV## is such that ##ΔV## means ##V_B – V_A##. This means ΔV is the change in potential moving from A to B; it is the potential of B relative to A. So ##ΔV = -V_{AB}##.

And I agree with @BvU. mixing A, B, 1 and 2 seems to be a potential (pun intended) source of confusion.
 
This line is wrong:
##\vec{dl}=(x_2-x_1)\hat x+(y_2-y_1)\hat y##, where ##A=(x_1,y_1)## etc.
On the left, ##\vec {dl}## is a small element of the path, while on the right,
##(x_2-x_1)\hat x+(y_2-y_1)\hat y## is the whole path.
It should read ##\vec{dl}=dx\hat x+dy\hat y##.
##\vec E.\vec{dl}=dy|E|##
##V_{AB}=-\int_B^A|E|dy=\int_A^B|E|dy=(y_2-y_1)|E|##

This confusion in the text in the image effectively led to the bounds being ignored in the integration and thereby treated as ##_A^B##.
 

Similar threads

  • · Replies 8 ·
Replies
8
Views
2K
Replies
5
Views
3K
  • · Replies 1 ·
Replies
1
Views
1K
Replies
4
Views
3K
Replies
8
Views
2K
  • · Replies 1 ·
Replies
1
Views
1K
Replies
4
Views
6K
  • · Replies 4 ·
Replies
4
Views
4K
  • · Replies 5 ·
Replies
5
Views
2K