Two Pulleys, Two Strings and Two Blocks

Click For Summary

Homework Help Overview

The discussion revolves around a problem involving two pulleys, two strings, and two blocks, likely within the context of mechanics or dynamics. Participants are seeking clarification on their solutions and understanding of the system's behavior.

Discussion Character

  • Exploratory, Assumption checking

Approaches and Questions Raised

  • Participants express uncertainty about their solutions and seek validation. There is a request for others to review their work, indicating a collaborative approach to understanding the problem.

Discussion Status

Some participants have confirmed the correctness of certain aspects of the problem, specifically regarding the accelerations, suggesting that there is some level of productive discussion occurring. However, there is no explicit consensus on the overall solution.

Contextual Notes

Participants are encouraged to share their work for feedback, indicating a focus on peer review and collaborative learning. There may be underlying assumptions about the system that are not fully articulated in the posts.

ThEmptyTree
Messages
55
Reaction score
15
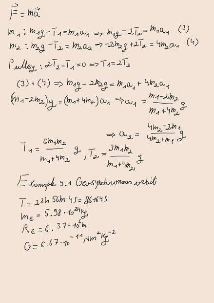
Homework Statement
Block ##1## and block ##2##, with masses ##m_1## and ##m_2##, are connected by a system of massless, inextensible ropes and massless pulleys as shown above.
Solve for the acceleration of block ##2## in terms of ##m_1, m_2## and ##g##. Assume that ”down” is positive. Express your answer in terms of some or all of the following: ##g, m_1##, and ##m_2##.
Relevant Equations
##\overrightarrow{F}=m\overrightarrow{a}##
Untitled.png


Someone pls solve this. I've done it but I'm not sure if it's correct. Thanks!
 
Physics news on Phys.org
ThEmptyTree said:
I've done it but I'm not sure if it's correct.
Post your work and we'll let you know. :smile:
 
Doc Al said:
Post your work and we'll let you know. :smile:
Uff

MIT OCW 801_210828_230323_106 (1).jpg


MIT OCW 801_210828_230323_107 (1).jpg
 
I confirm your answers for the accelerations.
 
haruspex said:
I confirm your answers for the accelerations.

Thanks again ӵ
 

Similar threads

Replies
15
Views
2K
  • · Replies 2 ·
Replies
2
Views
2K
  • · Replies 19 ·
Replies
19
Views
2K
Replies
21
Views
2K
  • · Replies 22 ·
Replies
22
Views
3K
  • · Replies 18 ·
Replies
18
Views
2K
  • · Replies 29 ·
Replies
29
Views
6K
  • · Replies 10 ·
Replies
10
Views
5K
  • · Replies 3 ·
Replies
3
Views
2K