Understanding Differentiation: The Madness of d(cos(t))/dp

Click For Summary

Homework Help Overview

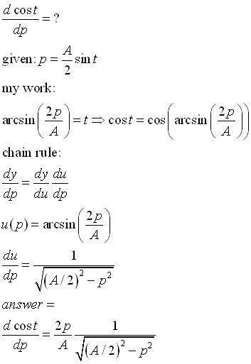
The discussion revolves around the differentiation of the cosine function with respect to a variable p, specifically the expression d(cos(t))/dp. Participants are exploring the application of the chain rule in this context.

Discussion Character

  • Exploratory, Mathematical reasoning, Assumption checking

Approaches and Questions Raised

  • The original poster attempts to differentiate d(cos(t))/dp but expresses confusion regarding their approach. Some participants suggest using the chain rule, while others note the importance of correctly applying the negative sign in the derivative.

Discussion Status

Participants are engaged in clarifying the differentiation process and addressing the original poster's concerns. There is an acknowledgment of the need for the attachment to be accessible for a complete understanding of the problem.

Contextual Notes

There is a mention of a specific relationship between p and t, where p is defined as A/2 sin(t), which may influence the differentiation process. The attachment containing additional details is pending approval, limiting some participants' ability to fully engage with the problem.

malawi_glenn
Science Advisor
Messages
6,735
Reaction score
2,436
This is a problem and i show you my work, what i don't understad is how to differentiate things like:

d(cos(t)) / dp

attachment.php?attachmentid=9995&stc=1&d=1178475756.jpg


is all i have done so far madness? or where iam i doing wrong?

(i did not got the answer myself)
 

Attachments

  • derivata.JPG
    derivata.JPG
    16.5 KB · Views: 506
Physics news on Phys.org
I can't see your attachment (it's not been approved yet) but to perform that derivative, you use the chain rule. So
[tex]\frac{d}{dp}(\cos t)=-\sin t\frac{dt}{dp}[/tex]
 
In the attachment, you are also given that p= A/2 sin t so that t= arcsin(2p/A)

You calculation looks correct except that you have forgotten the "-": d(cos(t))/dt= - sin(t) so -sin(arcsin(2p/A)= -2p/A.
 
HallsofIvy,

It is a bit frustating that you had the possibility to read the attachement and give a comment on it, while other members have not yet been able to read it because it is "pending".
 
Last edited:

Similar threads

  • · Replies 1 ·
Replies
1
Views
1K
Replies
4
Views
2K
Replies
1
Views
2K
  • · Replies 14 ·
Replies
14
Views
3K
  • · Replies 3 ·
Replies
3
Views
2K
  • · Replies 4 ·
Replies
4
Views
2K
Replies
1
Views
2K
  • · Replies 22 ·
Replies
22
Views
3K
Replies
8
Views
3K
  • · Replies 6 ·
Replies
6
Views
2K