Understanding the Arctan Identity: Solving for Inverse Trigonometric Functions

  • Thread starter Thread starter ali PMPAINT
  • Start date Start date
  • Tags Tags
    Identity
Click For Summary

Homework Help Overview

The discussion revolves around understanding the arctan identity and solving for inverse trigonometric functions, specifically focusing on the relationship between angles and their tangents in the context of a triangle where the sum of angles equals π.

Discussion Character

  • Exploratory, Conceptual clarification, Mathematical reasoning

Approaches and Questions Raised

  • Participants discuss the equation relating the tangents of angles in a triangle and question how to apply it to inverse functions. Some suggest using alternative equations like the expressions for tan(a ± b) but express uncertainty about how to adapt these for arctan. There are inquiries about the notation for π and how to typeset equations.

Discussion Status

The discussion is active, with participants sharing equations and seeking clarification on their application. Some have expressed understanding of the concepts, while others are still grappling with the material and asking for further explanations.

Contextual Notes

Participants are navigating the complexities of inverse trigonometric functions and the specific notation used in the forum for mathematical expressions. There is a mention of a solution book that may provide additional context, but details are not fully explored.

ali PMPAINT
Messages
44
Reaction score
8
Homework Statement
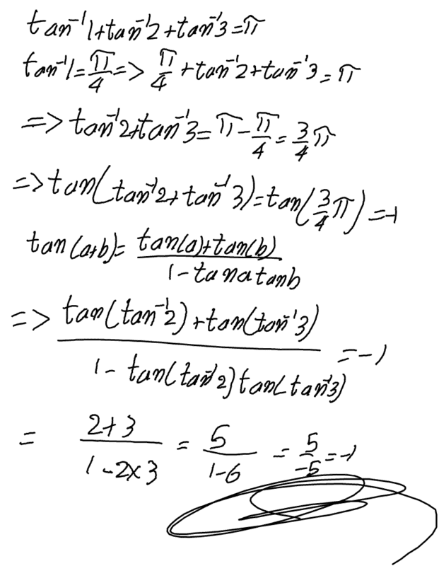
arctan(1)+arctan(2)+arctan(3)=Pi
Relevant Equations
I think tan(a)+tab(b)+tan(c)=tan(a)*tan(b)*tan(c)
So, I saw the answer but I couldn't understand it. But I think it can be solved by tan(a)+tab(b)+tan(c)=tan(a)*tan(b)*tan(c) (where a+b+c=Pi) , but I don't know how to transfer it to its inverse.
Capture.png


The answer:
242905
 
Physics news on Phys.org
Hello ali, ##\qquad## :welcome: ##\qquad## !
ali PMPAINT said:
I think it can be solved by ##\tan a +\tan b + \tan c =\tan a * \tan b * \tan c ## (where ## a+b+c=\pi ##)
Thanks for that equation -- I didn't know about it.
But: wouldn't it be easier to use some other equations, e.g. the expressions for ##\ \tan (a\pm b) ## ?
 
  • Like
Likes   Reactions: ali PMPAINT
BvU said:
Hello ali, ##\qquad## :welcome: ##\qquad## !
Thanks
But: wouldn't it be easier to use some other equations, e.g. the expressions for ##\ \tan (a\pm b) ## ?
[/QUOTE]
I think it would, but I don't know how to use these expressions for arctan.
And if you understood the solution book mentioned, could you explain it to me?
and how did you use "Pi" symbol?
 
But: wouldn't it be easier to use some other equations, e.g. the expressions for ##\ \tan (a\pm b) ## ?
[/QUOTE]
Akshely(Sorry for my English, I don't know how to spell it correctly), yes! Thanks for your advice. for anyone interested for the proof:

242926
 
  • Like
Likes   Reactions: BvU
ali PMPAINT said:
how did you use "Pi" symbol?
I type ## \pi ## and get ##\pi##

How to typeset equations is described in this tutorial (from point 7 in the guidelines)

ali PMPAINT said:
solution book mentioned
On the lower right you see a triangle with a top left angle a that has tangent 1.
242925

On top of that angle is a triangle with a lower left angle b that has tangent 2.
And c has tangent 3.

ali PMPAINT said:
spell it correctly
that would be: actually
 
  • Informative
Likes   Reactions: ali PMPAINT
BvU said:
I type ## \pi ## and get ##\pi##
On the lower right you see a triangle with a top left angle a that has tangent 1.
View attachment 242925
On top of that angle is a triangle with a lower left angle b that has tangent 2.
And c has tangent 3.

that would be: actually
Oh! Now I got it! Thank you very much!
 
arctan.jpg


From the right triangles ABC, CBD, CDE, and AFE, the length of AE is the same as the length of AC + length of CE, so the line ACE is a straight line, the angle C is 180°.
 
  • Like
Likes   Reactions: ali PMPAINT and YoungPhysicist

Similar threads

  • · Replies 2 ·
Replies
2
Views
2K
  • · Replies 17 ·
Replies
17
Views
4K
Replies
15
Views
2K
  • · Replies 7 ·
Replies
7
Views
3K
  • · Replies 11 ·
Replies
11
Views
3K
Replies
5
Views
2K
  • · Replies 6 ·
Replies
6
Views
3K
  • · Replies 15 ·
Replies
15
Views
4K
Replies
17
Views
3K
Replies
2
Views
3K