Understanding the solution to this subspace problem in linear algebra

Click For Summary
SUMMARY

The discussion centers on solving a subspace problem in linear algebra, specifically involving polynomial expressions. Participants confirm that the solution for part (a) is consistent with the equations presented, where the coefficients are defined as ##a_3 = 2a_1## and ##a_2 = 2a_0##. There is a consensus that a typographical error exists in the original problem statement, where ##p(z)## should be corrected to ##p(x)##. The final conclusion indicates that the intersection of subspaces U and W is represented as ##U \cap W = \{a(1+x+2x^2+2x^3)\,|\,a\in \mathbb{F}\}.

PREREQUISITES
  • Understanding of linear algebra concepts, specifically subspaces.
  • Familiarity with polynomial expressions and their coefficients.
  • Knowledge of notation used in linear algebra, such as ##\mathbb{F}## and ##\lambda##.
  • Ability to interpret and manipulate equations involving variables and coefficients.
NEXT STEPS
  • Study the properties of subspaces in linear algebra.
  • Learn about polynomial functions and their coefficients in detail.
  • Explore common typographical errors in mathematical texts and their implications.
  • Investigate the use of notation in linear algebra to avoid confusion in problem-solving.
USEFUL FOR

Students and educators in mathematics, particularly those focusing on linear algebra, as well as anyone involved in solving polynomial equations and understanding subspace intersections.

MaxJ
Messages
7
Reaction score
0
Homework Statement
Below
Relevant Equations
Below
For this problem,
1723493656163.png

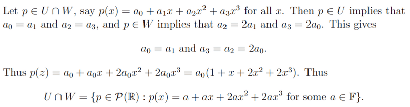
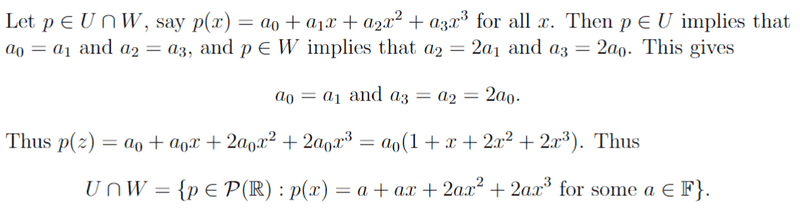
The solution for (a) is
1723493686845.png

I am slightly confused for ##p \in W## since I get ##a_3 = 2a_1## and ##a_2 = 2a_0##. Since ##a_3 = 2b##, ##a_2 = 2a##, ##a_1 = b##, ##a_0 = a##.

Anybody have this doubt too?

Kind wishes
 
Physics news on Phys.org
I agree with your conclusion and assume that whoever wrote what you attached made a typo. Further evidence is that the author also wrote "Thus p(z) ..." when clearly p(x) was intended.
 
  • Like
Likes   Reactions: MaxJ
MaxJ said:
Homework Statement: Below
Relevant Equations: Below

For this problem,
View attachment 349805
The solution for (a) is
View attachment 349806
I am slightly confused for ##p \in W## since I get ##a_3 = 2a_1## and ##a_2 = 2a_0##. Since ##a_3 = 2b##, ##a_2 = 2a##, ##a_1 = b##, ##a_0 = a##.

Anybody have this doubt too?

Kind wishes
I got the same result as claimed:
\begin{align*}
a+ax+bx^2+bx^3&=\lambda c+\lambda dx+2\lambda cx^2+2\lambda dx^3\\
c&=\lambda^{-1}a\\
d&=\lambda^{-1}a=c\\
a+ax+bx^2+bx^3&=a+ax+2ax^2+2ax^3\\
b&=2a \\[6pt]
U\cap W&=\{a(1+x+2x^2+2x^3)\,|\,a\in \mathbb{F})\}
\end{align*}
but I get confused with the ##a_i## in the book.
 
  • Like
Likes   Reactions: MaxJ

Similar threads

  • · Replies 4 ·
Replies
4
Views
1K
Replies
12
Views
3K
  • · Replies 4 ·
Replies
4
Views
2K
Replies
4
Views
2K
Replies
9
Views
2K
  • · Replies 7 ·
Replies
7
Views
3K
  • · Replies 23 ·
Replies
23
Views
9K
  • · Replies 4 ·
Replies
4
Views
2K
  • · Replies 14 ·
Replies
14
Views
3K
  • · Replies 15 ·
Replies
15
Views
2K