Unstable or stable electrostatic equilibrium?

Click For Summary
SUMMARY

The discussion centers on determining the stability of electrostatic equilibrium at the center of a charged ring. Participants analyze the potential energy, electric field, and forces acting on a point charge placed at the center. The electric potential at the center is given by $$ V(0) = \frac{\lambda}{2\epsilon_0} $$, and the stability is assessed using Laplace's equation in cylindrical coordinates. The consensus is that the equilibrium is stable if the electric field points back towards the center upon small displacements.

PREREQUISITES
  • Understanding of electrostatics, specifically electric potential and electric fields.
  • Familiarity with Laplace's equation and its application in cylindrical coordinates.
  • Knowledge of the shell theorem and its implications for electric fields.
  • Basic principles of forces and potential energy in physics.
NEXT STEPS
  • Study the application of Laplace's equation in cylindrical coordinates for electrostatic problems.
  • Learn about the shell theorem and its relevance to electric fields generated by charged objects.
  • Investigate the relationship between potential energy and stability in electrostatic systems.
  • Explore the concept of restoring forces and their role in determining stability in equilibrium positions.
USEFUL FOR

Physics students, electrical engineers, and anyone interested in electrostatics and stability analysis of charged systems.

  • #61
Angela G said:
ok, so If the charges has oposite sign, the there will be an attractive force when the point charge is displaced a dz from the ring, and know we have to determine the stability on the plane of the ring.

Also, I wonder if you could take a look at post #50, and tell me if my reasoning is right or not, pls
I don't think you were supposed to get into detailed calculations. That's why the question said simply "motivate your answer". You're looking for a good approximation for the force on a particle that is perturbed off centre.
 
Physics news on Phys.org
  • #62
Angela G said:
ok, so If the charges has oposite sign, the there will be an attractive force when the point charge is displaced a dz from the ring, and know we have to determine the stability on the plane of the ring.
You have examined $$- \frac{\partial^2 V}{\partial z^2} = \frac{1}{\rho} \frac{\partial}{\partial \rho} \left( \rho \frac{\partial V}{\partial \rho} \right )$$ This says that:
1. If one side of the equation is positive (it doesn't matter which) the other is negative.
2. The positive side means stable equilibrium in that direction and the negative side means unstable equilibrium in that direction.

Is that observation going to change if the signs of the charged ring and the test particle are the same as opposed to different?

This thread has gone on for too long in my opinion. One can find more details about the potential and electric fields near the origin (for like charges) in post #2 here.
 
  • Like
Likes   Reactions: bob012345
  • #63
Angela G said:
ok, so If the charges has oposite sign, the there will be an attractive force when the point charge is displaced a dz from the ring, and know we have to determine the stability on the plane of the ring.

Also, I wonder if you could take a look at post #50, and tell me if my reasoning is right or not, pls
I think you already have said the way the ring field acts and you know which way it makes a charge with a small displacement go for each sign of ##q##.
Just spell it out.

It is interesting to compare the stability in the plane vs. out of the plane along the ##z## axis in both cases (of like or opposite charges).
 
Last edited:
  • Like
Likes   Reactions: PhDeezNutz
  • #64
PeroK said:
Which is an unjustified assumption. ##\lambda## and ##q## could have opposite signs.
It was used as a starting case, that's all. The possibility of different signs were discussed earlier.
 
  • #65
I think part ##a## is basically solved or at least enough was discussed to complete it, so what about part ##b##?
 
  • #66
could you please summarize a) because I'm little confused
 
  • #67
Angela G said:
could you please summarize a) because I'm little confused
You solved the stability for the ##z## axis above and you know the direction and therefore force in the plane (toward the center for positive ring) and so you know whether it is stable in the plane of the ring given the sign of the charges. If you want to be more detailed for example on the ##z## axis just compute the potential along the ##z## axis which is easy because of symmetry and take the second derivative of it.
 
  • #68
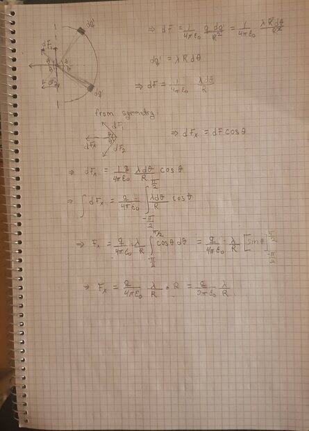
regarding to b) I think I already solved it could you please take a look of it

Edit: I missed a "q" in the third expression
 

Attachments

  • 20211010_194625.jpg
    20211010_194625.jpg
    36.8 KB · Views: 163
  • Like
Likes   Reactions: PhDeezNutz and bob012345
  • #69
Angela G said:
regarding to b) I think I already solved it could you please take a look of it

Edit: I missed a "q" in the third expression
Looks correct.
 
  • Like
Likes   Reactions: PhDeezNutz and bob012345
  • #70
Thank you everyone that helped me in this problem I finally understood ☺️☺️☺️☺️
 
  • Like
  • Love
Likes   Reactions: PhDeezNutz, kuruman and bob012345

Similar threads

  • · Replies 4 ·
Replies
4
Views
2K
  • · Replies 7 ·
Replies
7
Views
3K
  • · Replies 2 ·
Replies
2
Views
4K
Replies
5
Views
2K
  • · Replies 5 ·
Replies
5
Views
1K
  • · Replies 5 ·
Replies
5
Views
2K
  • · Replies 4 ·
Replies
4
Views
4K
  • · Replies 6 ·
Replies
6
Views
3K
  • · Replies 1 ·
Replies
1
Views
2K
Replies
2
Views
2K